非線性失真簡介
非線性失真亦稱波形失真、非線性畸變,表現為音響系統輸出信號與輸入信號不成線性關係,由電子元器特性:曲線的非線性所引起,使輸出信號中產生新的諧波成分,改變了原信號頻譜,包括諧波失真、瞬態互調失真、 互調失真等,非線性失真不僅會破壞音質,還有可能由於過量的高頻諧波和直流分量燒毀音箱高音揚聲器和低音揚聲器。失真對音質的影響極大。當音響設備存在非線性失真時,會造成聲音渾濁,發毛、發沙、發破、發炸或者發硬,真實感變差。音響系統的非線性失真包括削波失真、諧波失真、互調失真以及瞬態失真等,音箱過載時,也同樣會聲音產生非線性失真。非線性失真存在於音響系統的各個環節中,無論採取何種技術措施,想要完全消除它是不可能的。
線性失真和非線性失真其實是同樣的概念,都是對輸入、輸出波形差異的衡量方式。即:信號在放大過程中,輸入和輸出信號在波形上出現的畸變。衡量的指標單位也像同,使用%來表示。
不同之處是線性失真是在波形畸變上出現了對稱的失真,這種失真一般出現在有深度負反饋的功率放大器中,其結果會產生多於的偶次諧波分量;而非線性失真則是波形畸變是不對稱的,這種失真是一種指數型失真,一般出現在三極體單管甲類放大電路中,其結果會產生多餘的奇次諧波分量。
產生
任何含有非線性元件的電路和設備,在信號通過時,特別是外加電壓超過一定限度時,將產生非線性失真,即輸出信號中產生了新的頻率成份。
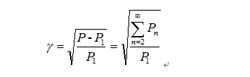
圖1非線性失真可用非線性失真係數來表征,簡稱失真係數或失真度γ,γ率與基波功率之比的平方根,即如圖1。
式中p為信號總功率為信號基波功率;p1為信號基波動率;pn為信號n次諧波的功率。用電壓有效值表示,上式可寫成如圖2 。從測量角度,可把上式改寫成如圖3 。
圖2根據上式,只要測量出諧波電壓總有效值
和信號總有效值
,即可計算γ'。不難證明,γ與γ'具有如圖4關係 。必要時可利用上式,由測得的γ'計算,當失真度不超過10%時,γ≈γ'。
圖3
圖4測量
我們可以根據不同要求,採用不同方法來測量失真度。一下介紹了兩種測量失真的方法。3.1 基波抑制法
這種方法是按γ'的定義進行測量,即首先用有效值電壓表測出被測信號總的有效值電壓,然後用一個基波抑制網路濾除基波信號後,再測出諧波電壓總有效值,並按公式求出γ'。
圖5在實際測量時,無需測出上述兩個電壓的絕對大小,而只需測量兩個電壓的相對比值,一種測量方案如圖1所示。將“工作選擇”開關S置於“校正”位置,調節“輸入電平”調節旋鈕,使電壓表指示滿刻度,將S轉向“測量”位置,調節基波抑制網路的頻率調節器,使電壓表指示最小,該指示與γ'成正比,若表頭滿刻度為100%,則可從電壓表直接讀出失真度。
圖6非線性衰減aγ'的測量採用比較法,如圖6所示。將“工作選擇”開關s置於位置“1”,被測信號經可變衰減器1,再經高通濾波器濾掉基頻後加到電平表指示,調節可變衰減器1的衰減值,使有一個合適的指示,設衰減值為a1;將S轉向“2”,調節可變衰減器2使電平表指示與第一次相同,設衰減值為,則被測非線性衰減aγ'為aγ'=a2-a1。
測量準確度主要決定於兩個可變衰減器的精度,與電平表的精度無關。
3.2 白噪聲法
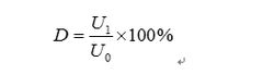
利用白噪聲來模擬實際工作狀態的動態測試。能夠較真實地反映系統產生的非線性失真的程度。圖7示出了非線性失真的白噪聲測量方法,白噪聲發生器輸出被限制在頻帶B內,B選得等於被測系統頻寬,並經帶阻濾波器,使加到被測系統的白噪聲在f0處出現一頻隙,即不包含f0(實際上為以f0為中心的一個很窄的頻帶)的頻率成分。在被測系統輸出端,用選頻電平表選出頻率為f0的成分,即由非線性而產生的諧波和互調成分的均方根值U1,則待測非線性失真係數為
圖7在同一選頻電平錶帶寬下,頻率f≠f0時的讀數。
圖8