基本釋義
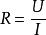
電阻是描述導體導電性能的物理量,用R表示。電阻由導體兩端的電壓U與通過導體的電流I的比值來定義,即R=U/I。所以,當導體兩端的電壓一定時,電阻愈大,通過的電流就愈小; 反之,電阻愈小,通過的電流就愈大。因此,電阻的大小可以用來衡量導體對電流阻礙作用的強弱,即導電性能的好壞。電阻的量值與導體的材料、形狀、體積以及周圍環境等因素有關。
不同導體的電阻按其性質的不同還可分為兩種類型。一類稱為線性電阻或歐姆電阻,滿足歐姆定律; 另一類稱為非線性電阻,不滿足歐姆定律。電阻的倒數1/R稱為電導,也是描述導體導電性能的物理量,用G表示。電阻的單位在國際單位制中是歐姆(Ω),簡稱歐。而電導的國際單位制(SI)單位是西門子(S),簡稱西。電阻還常用kΩ和MΩ作單位,它們之間的關係是:
1MΩ=1000kΩ=1000000Ω
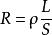
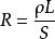
電阻[導體對電流阻礙作用的大小]電阻率描述導體導電性能的參數。對於由某種材料製成的柱形均勻導體,其電阻R與長度L成正比,與橫截面積S成反比,即:
式中ρ為比例係數,由導體的材料和周圍溫度所決定,稱為電阻率。它的國際單位制(SI)是歐姆·米 (Ω·m)。常溫下一般金屬的電阻率與溫度的關係為:
ρ=ρ(1+αt)
式中ρ0為0℃時的電阻率; α為電阻的溫度係數; 溫度t的單位為攝氏溫度。半導體和絕緣體的電阻率與金屬不同,它們與溫度之間不是按線性規律變化的。當溫度升高時,它們的電阻率會急劇地減小。呈現出非線性變化的性質。電阻率的倒數1/ρ稱為 電導率,用σ表示。它也是描述導體導電性能的參數 ,其國際單位制(SI)是西門子/米 (S/m)。
單位表示
導體的電阻通常用字母R表示,電阻的單位是歐姆(ohm),簡稱歐,符號是Ω(希臘字母,讀作Omega),1Ω=1V/A。比較大的單位有千歐(kΩ)、兆歐(MΩ)(兆=百萬,即100萬)。
KΩ(千歐), MΩ(兆歐),他們的換算關係是:兩個電阻並聯式也可表示為
1TΩ=1000GΩ;1GΩ=1000MΩ;1MΩ=1000KΩ;1KΩ=1000Ω(也就是一千進率)
計算公式
電阻[導體對電流阻礙作用的大小]串聯: 。
電阻[導體對電流阻礙作用的大小]
電阻[導體對電流阻礙作用的大小]並聯: ,特別地,兩個電阻並聯式也可表示為 。
電阻[導體對電流阻礙作用的大小]定義式:
電阻[導體對電流阻礙作用的大小]決定式: (ρ表示電阻的電阻率,是由其本身性質決定,L表示電阻的長度,S表示電阻的橫截面積)。
控制因素
電阻雖然定義為:1伏電壓產生一安電流則為1歐電阻;但電壓、電流並不是決定電阻的因素。
電阻元件的電阻值大小一般與溫度有關,還與導體長度、橫截面積、材料有關。多數(金屬)的電阻隨溫度的升高而升高,一些半導體卻相反。如:玻璃,碳在溫度一定的情況下,有公式R=ρl/s其中的ρ就是電阻率,l為材料的長度,單位為m,s為面積,單位為平方米。可以看出,材料的電阻大小正比於材料的長度,而反比於其面積。
超導現象
各種金屬導體中,銀的導電性能是最好的,但還是有電阻存在。20世紀初,科學家發現,某些物質在很低的溫度時,如鋁在1.39K(-271.76℃)以下,鉛在7.20K(-265.95℃)以下,電阻就變成了零。這就是超導現象,用具有這種性能的材料可以做成超導材料。已經開發出一些“高溫”超導材料,它們在100K(-173℃)左右電阻就能降為零。
如果把超導現象套用於實際,會給人類帶來很大的好處。在電廠發電、運輸電力、儲存電力等方面若能採用超導材料,就可以大大降低由於電阻引起的電能消耗。如果用超導材料製造電子元件,由於沒有電阻,不必考慮散熱的問題,元件尺寸可以大大的縮小,進一步實現電子設備的微型化。
