背景簡介
電子自旋共振(Electron Spin Resonance,縮寫為ESR),又稱順磁共振(Paramagnetic Resonance)是:處於恆定磁場中的電子自旋磁矩在射頻電磁場作用下發生的一種磁能級間的共振躍遷現象。1944年由前蘇聯的柴伏依斯基首先發現。
電子自旋共振( ESR) 是用來測定未成對電子與其環境相互作用的一種物理方法。當未成對電子在不同的原子或化學鍵上, 或附近有不同的基團即具有不同的化學環境時, 其電子自旋共振光譜就可以詳細地反映出來, 並且不受其周圍反磁性物質( 如有機配體) 的影響。自 1944 年發現電子自旋共振以來, 很快被套用到化學研究中, 特別是近年在生物體內的各種蛋白酶如銅鋅超氧化物歧化酶等 的活性中心金屬離子所處化學環境的研究中得到了廣泛套用。
ESR已成功地被套用於順磁物質的研究,目前它在化學、物理、生物和醫學等各方面都獲得了極其廣泛的套用。例如發現過渡族元素的離子;研究半導體中的雜質和缺陷;離子晶體的結構;金屬和半導體中電子交換的速度以及導電電子的性質等。所以,ESR也是一種重要的控物理實驗技術。
原理介紹
任何電子均具有特徵的自旋角動量s和相應的自旋磁矩μ= gsμ, g 是光譜分裂因子, 對自由電子, g= 2.0023, s= 1/ 2。沒有磁場時, 自由電子在任何方向均具有相同的能量, 故可以自由取向, 但處在外磁場中時, 電子的自旋磁矩和外磁場發生作用, 電子的自旋磁矩 在不同的方向就具有不同的能量, E= gμmB ,μ 為玻爾磁子, B 是外加磁場, 這種分裂叫作Zeeman 分裂。磁能級躍遷的選擇定則是 △ms = 0±1。若在垂直於外磁場 B 的方向上加上頻率為ν 的電磁波, 使電子得到能量hν, 則ν 和 B 滿足 hν= gμB 時, 就發生磁能級躍遷, 在相應的吸收曲線( 即ESR 光譜曲線) 上出現吸收峰, 即發生電子自旋共振吸收, g= hν/ μB, g 值是由不成對電子所處的化學環境即化合物的電子結構決定, 每個化合物均具有特定的 g 值, 它與核磁共振中的化學位移相當。高對稱性分子, g值是各向同性的, 即只有一個 g 值; 低對稱性分子, 如果是含有一個不低於三次的對稱軸的軸對稱分子, 可以得到 g〦 和 g‖ 兩個 g 值, 其中〦 和‖分別表示垂直於和平行於外磁場。如果是最高只含有二次對稱軸的軸對稱分子, 則有 g、g、g三個 g 值來描述, 其中 z 表示外磁場方向。因此 g 值可以探索化合物的結構。
物理介紹
分子中的電子多數是成對存在,根據泡利不相容原理,每對電子必為一個自旋向上,一個自旋向下,而磁性互相抵消。因此必須有不成對電子的存在,才能表現磁共振,例如過渡元素重金屬或者自由基的存在。
因為電子有1/2的自旋,所以在外加磁場下能級二分。當外加具有與此能量差相等的頻率電磁波時,便會引起能級間的躍遷。此現象稱為電子自旋共振。縮寫為ESR。對相伴而產生的電磁波吸收稱ESR吸收。產生ESR的條件為ν(MHz)=1.4·g·H(高斯)。式中ν為電磁波的頻率,H為外部磁場強度,g為g因子(g factor)或g值。一個分子中有多數電子,一般說每二個其自旋反相,因此互相抵消,淨自旋常為0。但自由基有奇數的電子,存在著不成對的電子(其無與之相消的電子自旋)。也有的分子雖然具有偶數的電子,但二個電子自旋同向,淨自旋為一(例如氧分子)。原子和離子也有具有淨自旋的,Co 、Fe 、和Mn 等常磁性離子即是。這些原子和分子為ESR研究的對象。由於電子自旋與原子核的自旋相互作用,ESR可具有幾條線的結構,將此稱為超微結構(hyperfine stru-cture)。g因子及超微結構都有助於了解原子和分子的電子詳細狀態。也可鑑定自由基。另外,從ESR吸收的強度可進行自由基等的定量。因為電子自旋的緩和依賴於原子及分子的旋轉運動,所以通過對ESR的線寬測定,可以了解原子及分子的動的狀態。
雖然原理類似於核磁共振 ,但由於電子質量遠輕於原子核,而有強度大許多的磁矩。以氫核(質子)為例,電子磁矩強度是質子的659.59倍。因此對於電子,磁共振所在的拉莫頻率通常需要透過減弱主磁場強度來使之降低。但即使如此,拉莫頻率通常所在波段仍比核磁共振拉莫頻率所在的射頻範圍還要高——微波,因而有穿透力以及對帶有水分子的樣品有加熱可能的潛在問題,在進行人體造影時則需要改變策略。舉例而言,0.3 特斯拉的主磁場下,電子共振頻率發上在8.41吉赫,而對於常用的核磁共振核種——質子而言,在這樣強度的磁場下,其共振頻率為12.77 兆赫。
g值測量
實驗裝置
微波ESR譜儀由產生恆定磁場的電磁鐵及電源,產生交變磁場的微波源和微波電路,帶有待測樣品的諧振腔以及ESR信號的檢測和顯示系統 等組成。
1、微波源:由於固態微波源壽命長、使用簡單、輸出的微波頻率較穩定等優點,是最常用的一種微波信號發生器。
2、可調的矩形諧振腔。可調的矩形諧振腔結構如圖1所示,它既為樣品提供線偏振磁場,
圖1 可調矩形諧振腔示意圖同時又將樣品吸收偏振磁場能量的信息傳遞出去。諧振腔的末端是可移動的活塞,調節其位置,可以改變諧振腔的長度,腔長可以從帶游標的刻度連桿讀出。為了保證樣品處於微波磁場最強處,在諧振腔寬邊正中央開了一條窄槽,通過機械傳動裝置可以使樣品處於諧振腔中的任何位置,樣品在諧振腔中的位置可以從窄邊上的刻度直接讀出。該圖還畫出了矩形諧振腔諧振時微波磁力線的分布示意圖。
3、魔T。魔T的作用是分離信號,並使微波系統組成微波橋路,其結構如圖9.3.6所示。按照其接頭的工作特性,當微波從任一臂輸入時,都進入相鄰兩臂,而不進入相對臂。
4、配器。單螺調配器是在波導寬邊上開窄槽,槽中插入一個深度和位置都可以調節的金屬探針,當改變探針穿伸到波導內的深度和位置時,可以改變此臂反射波的幅值和相位,該元件的結構示意圖如圖2所示。
圖2 魔T和單螺調配器示意圖實驗內容
1、按圖一所示連線系統,將可變衰減器順時針旋至最大,開啟系統中各儀器的電源,預熱20分鐘。
2、將旋鈕和按鈕作如下設定:
“磁場”逆時針調到最低,“掃場”逆時針調到最低。按下“檢波”按鈕,“掃場”按鈕彈起,此時磁共振實驗儀處於檢波狀態(註:切勿同時按下)。
3、將樣品位置刻度尺置於90mm處,樣品應置於磁場正中央。
4、將單螺調配器的探針逆時針旋至“0”刻度。
5、信號源工作於等幅工作狀態,調節可變衰減器使調諧電錶有指示,然後將“檢波靈敏度”旋鈕指示最大控制磁共振實驗儀的調諧指示占滿度的1/2左右。
6、用波長 表測定微波信號的頻率,方法是:旋轉波長表的測微頭,找到電錶跌落點,查波長表—刻度表即可確定振盪頻率,若振盪頻率不在9370MHz,應調節信號源的振盪頻率,使其接近9370MHz的振盪頻率。測定完頻率後,需將波長表刻度旋開諧振點。
7、為使樣品諧振腔對微波信號諧振,調節樣品諧振腔的可調終端活塞,使調諧電錶指示最小。
8、為了提高系統的靈敏度,可減小可變衰減器的衰減量,使調諧電錶顯示儘可能提高。然後,調節魔T另一支臂單螺調配器指針,使調諧電錶指示更小。若磁共振儀 電錶指示太小,可調節靈敏度,使指示增大。
9、按下“掃場”按鈕。此時調諧電錶指示為掃場電流的相對指示,調節“掃場”旋鈕可改變掃場電流。
10、順時針調節恆磁場電流,當電流達到1.65~1.79A時,示波器上即可出現電子共振信號。
圖3 共振波形11、若共振波形峰值較小,或示波器圖形顯示欠佳,可採用四種方式調整:
11.1將可變衰減器反時針旋轉,減小衰減量,增大微波功率。
11.2正時針調節“掃場”旋鈕,加大掃場電流。
11.3提高示波器的靈敏度。
11.4調節微波信號源振盪腔法蘭盤上的調節釘,可加大微波輻射功率。
12、若共振波形左右不對稱,調節單螺調配器的深度及左右位置,或改變樣品在磁場中的位置,通過微調樣品諧振腔,使共振波形形成。
13、調節“調相”旋鈕即可使雙共振峰處於合適的位置。
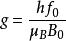
14、用高斯計測得外磁場 B,用公式
電子自旋共振計算g因子。(g因子一般在1.95-2.05之間)。
15、為了得到腔體的波導波長λ,可移動樣品的位置,兩信號之間距離即為λ/2。
ESR套用
套用在多個領域,包括了:
▲固態物理, 辨識與定量自由基分子(即帶有不成對電子的分子)。
▲化學 ,用以偵測反應路徑。
▲生物醫學領域 ,用在標記生物性自旋探子。

