亞層之一
電子的亞層所具有的層級編號可用這個公式表示:x=0、1、2、3、…(n-1),n為電子層數。即K層(n=1)有一個亞層(s);L層(n=2)有0、1兩個亞層,即2s、2p;M層(n=3)有0、1、2三個亞層,即3s、3p、3d。同理4層有4s、4p、4d、4f四個亞層。不同亞層的電子云形狀不同,s亞層(x=0)的電子云形狀為球形對稱;p亞層(x=1)的電子云為無柄啞鈴形(紡錘形);d亞層(x=2)的電子云為十字花瓣形等。同一電子層不同亞層的能量按s、p、d、f序能量逐漸升高。
亞層之二
通過對許多元素的電離能的進一步分析,人們發現,在同一電子層中的電子能量也不完全相同,仍可進一步分為若干個電子組。這一點在研究元素的原子光譜中得到了證實。
電子亞層分別用s、p、d、f等符號表示。不同亞層的電子云形狀不同。s亞層的電子云是以原子核為中心的球形,p亞層的電子云是紡錘形,d亞層為花瓣形,f亞層的電子云形狀比較複雜。
亞層之三
受磁量子數的控制,s層有一個軌道,p層有三個軌道,d層有五個軌道,等等,(根據自鏇量子數,每個軌道可容納2個電子)。
由於亞層的存在,使同一個電子層中電子能量出現不同,甚至出現低電子層的高亞層能量大於高電子層的低亞層,即所謂的能級交錯現象。各亞層能量由低到高排列如下:
1s,2s,2p,3s,3p,4s,3d,4p,5s,4d,5p,6s,4f,5d,6p,7s,5f,6d.......
有一個公式可以方便記憶:ns<(n-2)f<(n-1)d<np 只要記住其中d亞層從3d開始,f亞層從4f開始就行了。寫能級順序時n從1開始取,f前的n>=6,d前的n>=4。
原子軌道
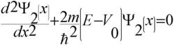
薛丁格方程
薛丁格方程薛丁格方程是描述微觀粒子運動的基本方程,1927年奧地利物理學家薛丁格將光的波動方程引申來描述原子中單個電子運動規律建立起來的,是一個二階偏微分方程。即:式中:x、y、z — 是電子的空間直角坐標
Ψ —波函式(是三維空間坐標x、y、z 的函式)
E — 系統的總能量
V — 系統的勢能(核對電子的吸引能)
m、E、V 體現了微粒性,Ψ 體現了波動性。
氫原子體系的 Ψ 和與之對應的 E 可以通過解薛丁格方程得到,解出的每一個合理的Ψ 和E ,就代表體系中電子運動的一種狀態。可見,在量子力學中是波函式來描述微觀粒子的運動狀態。
為了解的方便,常把直角坐標x、
y、z 換成極坐標r 、θ、φ 表示,
換算關係是:
在解方程時,為了使解出的函式有合理的物理意義,還必須引入一套參數 n、l、m 作為限制條件。這一套參數在量子化學中稱為量子數。其取值規則為:
n = 1,2, 3,… … n 為自然整數
l ≤ n - 1 l = 0,1,2,…, ( n -1)
|m| ≤ l m = 0,±1,±2, … , ±l
每一組軌道量子數n、l、m,可以確定一個函式,即:
波函式Ψ(r,θ,φ ):代表電子運動的一種穩定狀態,俗稱原子軌道。
徑向波函式R(r):由n和l決定,它描述波函式隨電子離核遠近(r)的變化情況.
角度波函式.Y ( θ,φ ):由l和m決定,描述波函式隨電子在核的不同方向的變化情況,
通常將l=0,1,2.3,…的軌道分別稱為s軌道、p軌道、d軌道、f軌道、…
角度分布圖
(1) 原子軌道的角度分分布圖:
Y (θ,φ) ——θ、φ 作圖而成。
例如: l s 至 n s 的角度部分函式為:
s 的角度函式與角度無關,是以半徑為 r 的球形。
p 軌道的軌道的角度分布函式與方向有關。
如Y 2pz 為:
Y 2pz= ( 3/4π) 1/2 cos θ
(2)電子云的角度分布圖
電子云是電子在核外空間各處出現幾率密度大小的形象化描述。幾率密度= |Ψ |2,|Ψ |2 的圖象稱為電子云。
因而用 Y 2( θ,φ ) - θ,φ 作圖即得到電子云的角度分布圖。其圖形與原子軌道角度分布圖相似,不同之處有兩點:
① 由於Y ≤1,Y2 ≤Y (更小),所以電子云角度分布圖瘦些。
②原子軌道角度分布有+、- 號之分,( Y 有正負號,代表波函式的對稱性並不代表電荷),電子云的角度分布圖沒有正負號。
電子云常用小圓點的疏密程度表示。
把占90~95%的幾率分布用匡線匡起來,形成電子云的界面圖,故也可用電子云的界面圖來表示電子出現的幾率分布。
注意:由於微觀粒子具有波粒二象性,不僅其物理量是量子化的,而且從電子云概念可知,微觀粒子在空間的分布還具有統計性規律。即電子雖不循著有形的軌道或途徑運動但它在空間的分布總有一個幾率或幾率密度較大的範圍。因此,儘管電子決不像巨觀物體運動那樣,呈現某種幾何形狀的軌道或途徑。
原子能級
從解薛丁格方程所引進的一套參數 n, l, m(稱為量子數)的物理意義、取值以及取值的組合形式與核外電子運動狀態的關係如下:
主量子數
描述電子離核的遠近,確定原子的能級或確定軌道能量的高低。決定軌道或電子云的分布範圍。一般,n 值越大,電子離核越遠,能量越高。主量子數所決定的電子云密集區或能量狀態稱為電子層(或主層)。
主量子數n 1, 2, 3, 4, 5, 6, 7, … (共取n個值)
電子層符號 K,L,M,N, O, P, Q , …
角量子數
同一電子層(n)中因副量子數(l)不同又分成若干電子亞層(簡稱亞層,有時也稱能級)。 l確定同一電子層中不同原子軌道的形狀。在多電子原子中,與 n 一起決定軌道的能量。
副量子數l = 0, 1, 2, 3, 4, …, n -1 (共可取 n 個值))
亞層符號 s, p、 d、 f、 g……
軌道形狀 圓球 雙球 花瓣 八瓣
磁量子數
確定原子軌道在空間的伸展方向。
m = 0, ±1, ±2, ±3, …, ±l 共可取值( 2l +1)個值
s p d f
軌道空間伸展方向數: 1 3 5 7 ( m的取值個數)
n, l 相同,m不同的軌道能量相同。也即同一亞層中因m不同所代表的軌道具有相同的能量。通常將能量相同的軌道互稱為等價軌道或簡併軌道。
三個量子數的取值關係:
L 受 n 的限制:
n =1 l = 0 m = 0
n =2 l = 0, 1 m = 0, ±1
n =3 l = 0, 1, 2 m = 0, ±1, ±2
m 的取值受l 的限制:如
l = 0 m = 0
l = 1 m = -1, 0, +1
l = 2 m = -2, -1, 0, +1, +2
三個量子數的一種組合形式決定一個Ψ ,而每一個Ψ又代表一個原子軌道,所以三個量子數都有確定值時,即確定核外電子的一種電子運動狀態。
原子能級
在多電子原子中,原子的能級除受主量子數(n)影響外,還與副量子數(l)有關,其間關係複雜。下圖表示了若干元素原子中能級的相對高低。
由圖可以看出:
(1)單電子原子(Z=1)中,能量只與n有關,且n↑,E↑
(2)多電子原子(Z≥ 2)中,能量與n、l有關。
① n 相同,l 不同,則 l↑,E↑
如:Ens<Enp<End<Enf
② l 相同,n 不同,則n↑,E↑
如:E1s<E2s<E3s……
E2p<E3p<E4p……
E3d<E4d<E5d……
(3)能級交錯
若n和l都不同,雖然能量高低基本上由n的大小決定,但有時也會出現高電子層中低亞層(如4s)的能量反而低於某些低電子層中高亞層(如3d)的能量這種現象稱為能級交錯。能級交錯是由於核電荷增加,核對電子的引力增強,各亞層的能量均降低,但各自降低的幅度不同所致。能級交錯對原子中電子的分布有影響。
最大容量
自鏇量子數(ms)
自鏇量子數是描寫電子自鏇運動的量子數。是電子運動狀態的第四個量子數。
用分辨能力很強的光譜儀來觀察氫原子光譜,發現一條譜線是由靠得非常近的兩條線組成,為氫原子的精細結構,1921年,德國施特恩(Otto Stern,1888—1969)和格拉赫(Walter Gerlach,1889—1979)在實驗中將鹼金屬原子束經過一不均勻磁場射到螢幕上時,發現射線束分裂成兩束,並向不同方向偏轉。這暗示人們,電子除了有軌道運動外,還有自鏇運動,是自鏇磁矩順著或逆著磁場方向取向的結果。於是1925年荷蘭物理學家烏侖貝克(George Uhlenbeck,1900—)和哥希密特(Goudsmit,1902—1978)提出電子有不依賴於軌道運動的、固有磁矩(即自鏇磁矩)的假設。自鏇量子數s≡1/2,它是表征自鏇角動量的量子數,相應於軌道角動量量子數。自鏇磁量子數ms才是描述自鏇方向的量子數。ms= 1/2,表示電子順著磁場方向取向,用↑表示,說成逆時針自鏇;ms=-1/2表示逆著磁場方向取向,用↓表示,說成順時針自鏇。當兩個電子處於相同自鏇狀態時叫做自鏇平行,用符號↑↑或↓↓表示。當兩個電子處於不同自鏇狀態時,叫做自鏇反平行,用符號↑↓或↓↑表示。 1925年琴倫貝克和高斯米特,根據前人的實驗提出了電子自鏇的概念,用以描述電子的自鏇運動。
自鏇量子數ms 有兩個值(+1/2,-1/2),可用向上和向下的箭頭(“↑”“↓”)來表示電子的兩種所謂自鏇狀態。
結論:描述一個電子的運動狀態,要用四個量子數( n, l,m , ms ),同一原子中,沒有四個量子數完全相同的兩個電子存在。
電子排布規律
(1)泡利不相容原理
在同一原子中,一個原子軌道上最多只能容納兩個自鏇方向相反的電子。
(2)能量最低原理
電子總是最先排布(占據)在能量最低的軌道。
(3)洪特規則
①在等價軌道上,電子總是儘先占據不同的軌道 ,而且自鏇方向相同(平行)。
②當等價軌道上全充滿時( p6, d10, f 14 ),半充滿( p3, d 5, f 7 )和全空( p0, d0, f 0 )時,能量最低,結構較穩定。
最大容量
根據以上的排布規則,可以推算各電子層、電子亞層和軌道中最多能容納多少電子。
由於每一個電子層(n)中有n個電子亞層(每一個電子亞層又可以有(2l+1)個軌道),則每一電子層可能有的軌道數為n^2,即:
又由於每一個軌道上最多容納兩個電子,所以每一電子層的最大容量為2n^2,每一電子亞層中的電子數不超過2(2l+1)個。
電子層的最大容量(n=1-4)
原子核外的電子總是有規律的排布在各自的軌道上。
原子軌道
主頁面:原子軌道
作為薛丁格方程的解,原子軌道的種類取決於主量子數(n)、角量子數(l)和磁量子數(ml)。其中,主量子數就相當於電子層,角量子數相當於亞層,而磁量子數決定了原子軌道的伸展方向。另外,每個原子軌道里都可以填充兩個電子,所以對於電子,需要再加一個自鏇量子數(ms),一共四個量子數。
n可以取任意正整數。在n取一定值時,l可以取小於n的自然數,ml可以取±l。不論什麼軌道,ms都只能取±1/2,兩個電子自鏇相反。因此,s軌道(l=0)上只能填充2個電子,p軌道(l=1)上能填充6個,一個亞層填充的電子數為4l+2。
具有角量子數0、1、2、3的軌道分別叫做s軌道、p軌道、d軌道、f軌道。之後的軌道名稱,按字母順序排列,如l=4時叫g軌道。
排布的規則
電子的排布遵循以下三個規則:
能量最低原理
整個體系的能量越低越好。一般來說,新填入的電子都是填在能量最低的空軌道上的。
Hund規則
電子儘可能的占據不同軌道,自鏇方向相同。
Pauli不相容原理
在同一體系中,沒有兩個電子的四個量子數是完全相同的。
同一亞層中的各個軌道是簡併的,所以電子一般都是先填滿能量較低的亞層,再填能量稍高一點的亞層。各亞層之間有能級交錯現象:
1s
2s 2p
3s 3p
4s 3d 4p
5s 4d 5p
6s 4f 5d 6p
7s 5f 6d 7p
8s 5g 6f 7d 8p
...
有幾個原子的排布不完全遵守上面的規則,如:
Cr:[ Ar ]3d54s1
這是因為同一亞層中,全充滿、半充滿、全空的狀態是最穩定的。這種方式的整體能量比3d44s2要低,因為所有亞層均處於穩定狀態。
排布示例
以鉻為例:
鉻原子核外有24個電子,可以填滿1s至4s所有的軌道,還剩餘4個填入3d軌道:
1s22s22p63s23p64s23d4
由於半充滿更穩定,排布發生變化:
1s22s22p63s23p64s13d5
除了6個價電子之外,其餘的電子一般不發生化學反應,於是簡寫為:
[Ar]4s13d5
這裡,具有氬的電子構型的那18個電子稱為“原子實”。一般把主量子數小的寫在前面:
[Ar]3d54s1
電子構型
主頁面:元素周期律
電子的排布情況,即電子構型,是元素性質的決定性因素。
為了達到全充滿、半充滿、全空的穩定狀態,不同的原子選擇不同的方式。具有同樣價電子構型的原子,理論上得或失電子的趨勢是相同的,這就是同一族元素性質相近的原因;同一族元素中,由於周期越高,價電子的能量就越高,就越容易失去。
元素周期表中的區塊是根據價電子構型的顯著區別劃分的。不同區的元素性質差別同樣顯著:如s區元素只能形成簡單的離子,而d區的過渡金屬可以形成配合物。
電子亞層結構能級交錯現象記憶公式:ns<(n-2)f<(n-1)d<np

