定義
為考察標量場在空間的分布和變化規律,引入等值面、方嚮導數和梯度的概念。標量函式的梯度是一矢量,它的量值就是方嚮導數中的最大值,它的方向即為取得最大方嚮導數時的方向,也即最大增加率的方向,以電位為例,即為電位梯度。
基本原理
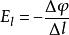
在勻強電場裡,我們有V=El(有的版本是U=Ed,就是兩點間的電位差等於電場強度和兩點在場強方向的距離的乘積),把這個等式變換為:E=V/l,我們就可以得出這樣一個結論:電場強度等於電位梯度,並指向電位降落的方向。
理論可以證明,這最後一個結論,不僅對勻強電場適用,而且對任何別種電場也都適用。但由於電位梯度,除勻強電場之外,一般都不等於V/l,所以上面的等式只對勻強電場適用。
在厘米·克·秒制靜電單位系中,電位梯度的單位為靜伏/厘米。勻強電場的電位梯度在數值上等於沿場強方向相隔1厘米兩點間的電位差的靜伏數。
電位梯度在數值上的負值等於該點場強沿相同方向分量。
與電場關係
電位梯度與電場強度間的關係
電位梯度
電位梯度
電位梯度
電位梯度
電位梯度
電位梯度
電位梯度
電位梯度
電位梯度
電位梯度
電位梯度
電位梯度
電位梯度如右圖所示,設電場中任意二點A、B間的距離很小,可視為均勻場,單位正電荷由A移到B時電場力做功,A、B間電壓 (1)。今令電位增加量 (2),則 (3)或 (4)。若 (5),即不走AB路徑,而走路徑,則 (6)。最大,即表A點的電位梯度。由圖可知: (7)或 (8)。
電位梯度
電位梯度
電位梯度
電位梯度
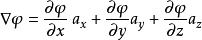
電位梯度如右圖所示,表示A到B的矢量,由電位定義 (9)但為空間坐標的函式,它的全微分是
電位梯度
電位梯度
電位梯度
電位梯度
電位梯度
電位梯度
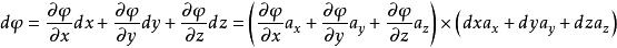
電位梯度(10)也就是說,的全微分可看成兩個矢量點乘的結果,其中 (11)即為從A到B的矢量的直角坐標表達式,根據梯度的定義 (12)於是式(10)即可寫成(13)比較式(9)和(13)有 (14)
電位梯度
電位梯度
電位梯度事實上我們從靜電場的基本方程及矢量恆等式可以說明 式(14)是正確的。因為靜電場中,又,故是正確的。故靜電場中某點電位梯度與電場強度大小相等,方向相反,它表示某點單位距離中電位升高的最快值。

