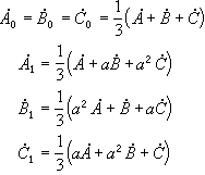
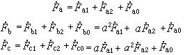
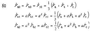
電介質有效場
正文
歷史上,首先系統地考慮電極化有效場的,是H.A.洛倫茲。他構想以所討論的分子(原子)為中心,適當的長度為半徑,在介質中作一球。球足夠大,球外分子(原子)對中心的作用,只具長程性質,可作連續介質處理。而球內其他分子(原子)對中心的作用,則帶有短程性,必須考慮介質的具體結構。當介質具有中心反演對稱時,洛倫茲的計算指出,球內其他分子對中心分子的電極化作用互相抵消,而球外則可歸結為空球表面的極化在中心所產生的場,即4πP/3(CGS制)或 P/3εo(SI制),其中P代表介質的電極化強度,εo是真空的介電常數。作用在中心分子上的有效場是
,
昂薩格認為,極性液體介質中,使分子固有電矩發生轉向極化的有效場不是洛倫茲場。原因是,中心分子固有電矩對周圍其他分子所引起的感應極化,反作用於中心分子時,只能使中心分子發生電子云的畸變極化或離子的位移極化,決不能使中心分子電矩發生轉向極化。因此,考慮中心分子固有電矩的轉向極化時,必須確實地把中心分子排除,而且只能排除一個中心分子。換句話說,真正的空球是只包圍一個點電矩分子的。
昂薩格在處理這個極其複雜的問題時,作了很大的簡化假設。首先,他把極性液體的分子看作為一個點電偶極子位於空球的中心,並且假設這空球是處於連續介質中。這樣,他採用巨觀經典電動力學的一般方法來進行計算。雖然方法十分粗糙,但有一定的啟發性。
構想在一個半徑為a的空球中心放著一點偶極矩μo,並假設這空球由介電常數為 ε的連續介質所包圍。偶極矩μo使周圍極化,在沒有外加電場時,周圍介質的感應極化在空球內產生一電場,稱為反作用場 R。如果介質是均勻的,反作用場R與μo同向,自然不會使μo發生轉向。再構想把中心電矩排除(即令μo=0)而加進一個外電場Ei,這時作用於空球內的電場,稱為空球電場G。所以,當外電場存在時,作用於空球中心點偶極子上有效場為
E=G+R,
用CGS制表示時
,
。
。
比空球電場G大得多。從而看出,洛倫茲的計算方法,在考慮極性液體介質的轉向極化時,是不適用的。 對於極性不強的液體介質,按昂薩格方法所計算的結果同實驗尚相符合。就這方面說,昂薩格模型比洛倫茲模型有所改進,但昂薩格方法中完全忽略了介質的微觀結構,不考慮分子間的短程作用;從這角度看,昂薩格方法的缺點更為嚴重。
按昂薩格方法計算有效場(內場)時,必須把所討論的分子(原子)排除。問題恰恰出在所要排除的是一個微觀的分子(原子),它的排除必然引起周圍的畸變,而這種畸變又依賴於介質的結構。因此,有效場(內場)問題甚為複雜,尚缺乏令人滿意的理論。

