雷達測量精度
正文
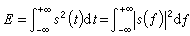
雷達測量正確性或誤差大小的量度。測量誤差,一般用測量值與真實值之差的平方的統計期望值(均方誤差)或平方根(均方根誤差)來表示。雷達所測量的目標參數通常包括目標距離(回波時延)、距離變化率(都卜勒頻移)、方位角和俯仰角(回波到達角)等。現代雷達還能測量目標尺寸、形狀和其他參數。測量精度的根本限制因素是噪聲。根據參量估計理論可以求出雷達測量的極限精度,並把它作為設計和評價雷達的重要依據之一。雷達回波由信號s(t-T)加噪聲n(t)組成,式中T是回波信號的時延。時延T的估計值的均方根誤差的下限為





對於任意波形總有
。因此 
由於天線方向圖G(θ)和天線口徑面上場的幅度分布A(x)之間也近似有傅立葉變換的關係,可以同樣求得角度估值的均方根誤差的下限為



