雷達波形
正文
雷達發射信號的波形。廣義的雷達波形包括發射波形和接收波形。接收波形是指與雷達接收機濾波器相匹配的波形。在雷達對接收信號進行失配處理時,接收波形不同於發射波形。雷達波形種類繁多,按其模糊函式形式大體可劃分為三類:①具有刀刃型模糊函式的信號,包括具有正刀刃型模糊函式的恆載頻脈衝信號和具有傾斜刀刃型模糊函式的線性調頻脈衝信號;②具有圖釘型模糊函式的偽隨機編碼信號;③具有釘床型模糊函式的相參脈衝列信號(見雷達模糊)。除恆載頻脈衝信號外,其他各類信號的時寬-頻寬積均大於1,統稱為大時寬-頻寬積信號。其中,具有傾斜刀刃型和圖釘型模糊函式的信號為寬脈衝編碼信號。由於引入脈內非線性相位調製,寬脈衝具有窄脈衝的頻寬,通過匹配濾波或相關積分處理後,可壓縮成窄脈衝輸出,稱之為脈衝壓縮信號。這種信號既具有寬脈衝波形的優良檢測性能和測速性能,又具有窄脈衝波形的高距離分辨力和測距性能。脈衝壓縮波形按照脈內非線性相位調製規律可分為調頻脈衝壓縮信號和相位編碼脈衝壓縮信號兩類。前者又有線性調頻和非線性調頻之分;後者則有二相編碼、多相編碼和互補編碼之分。
線性調頻矩形脈衝信號 這種信號的包絡是寬度為T的矩形脈衝,其瞬時載頻隨時間線性變化。信號的數學表達式可寫為

為頻率變化斜率;B為頻率變化範圍,也是信號的頻寬;信號的時寬-頻寬積TB=kT2=D(脈衝壓縮比)。當D>>1時(通常D≈102~103)信號具有近似矩形的振幅頻譜和平方律相位特性。信號的模糊函式呈傾斜刀刃型,與同樣寬度的恆載頻脈衝信號相比,模糊函式沿ξ(都卜勒頻移)軸向切割的主瓣寬度相同,而沿τ(時延)軸向切割的主瓣寬度縮小D分之一,亦即兩者的速度分辨力與測速精度相同,而線性調頻脈衝的距離分辨力和測距精度則比同樣寬度的恆載頻脈衝信號提高 D倍。這種信號模糊函式的傾斜刀刃位於ξ-kτ=0直線上,即只要|τ|<T,目標回波就都在同一瞬時出現在濾波器輸出端,從而無法分辨。這個問題可通過交替發射斜率相反的調頻脈衝來解決。這種信號通過匹配濾波或相關積分處理後,輸出窄脈衝的包絡近似為sinc(x)形狀,具有較高的距離旁瓣。為了抑制距離旁瓣,常採用頻域加權失配處理,這會引起 1分貝左右的信噪比損失。採用適當的非線性調頻(如正切調頻)進行匹配處理,同樣可獲得低的距離旁瓣,卻避免了失配引起的信噪比損失。 二相編碼脈衝信號 由 p個緊連著的子脈衝組成。每個子脈衝的載頻不變,相位按二元偽隨機序列 【Ck;Ck∈(+1,-1),k=1,2,… ,p】編碼。式中Ck=+1表示正常的載波相位;Ck=-1表示載波有180°相移。信號的數學表達式可寫為

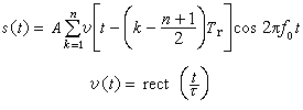
相參脈衝列信號 由多個以一定間距重複出現的恆載頻窄脈衝組成。信號保留了窄脈衝的頻寬,時寬則隨脈衝數而增大,若附加其他調製(如脈內相位編碼、脈間頻率編碼、重複周期編碼等),還可增大信號頻寬。最常用的是均勻脈衝列信號,其數學表達式可寫為

為了提高雷達反偵察、抗干擾能力,70年代以來的雷達,大多配有多種波形,以適應不同的目標和干擾環境,並向波形自適應的方向發展。
參考書目
M.I.斯科爾尼克著,謝卓譯:《雷達手冊》,國防工業出版社,北京,1978。(M.I.Skolnik,Radar Handbook,McGraw-Hill,New York,1970.)

