雷達方程
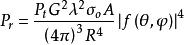
雷達方程描述雷達接收功率與雷達系統參數和地面目標參數之間數學關係。遙感套用人員可以通過雷達方程來了解系統參數和目標參數對雷達圖像色調(回波強弱)的影響,這對於雷達圖像的解譯是有意義的。假設天線輻射強度全部集中在兩個半功率點之間且均勻分布,雷達增益為G(定向天線最大輻射方向的能流密度與一個各向均勻輻射天線能流密度之比),則單個目標的雷達方程介紹如下。
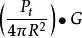
雷達回波功率雷達(包括散射計)接收的回波功率 為:
雷達回波功率
雷達回波功率
雷達回波功率
雷達回波功率
雷達回波功率
雷達回波功率
雷達回波功率
雷達回波功率式中, 為天線發射功率; 為天線增益; 為無線至目標的距離; 為目標有效散射截面; 為後向散射係數; 為面目標的面積; 為微波的波長。
雷達回波功率
雷達回波功率
雷達回波功率
雷達回波功率
雷達回波功率
雷達回波功率
雷達回波功率上式中假設發射天線功率和接收天線為同一天線(因此天線增益同為 )。方程中第一項 ,為距離天線為 、後項散射截面為 的目標,受到天線微波照射後(輻照度為 )向外散射的總回波功率,乘上第二項 後為雷達接收天線處的回波功率,其中, 。
雷達回波功率當天線發射輻射不是局限於半功率點之間均勻分布,而是 空間各向異性時,則考慮天線方向性函式,此時 :
雷達回波功率
雷達回波功率當 在目標面積A內各點處連續變化時,回波功率可積分得到 :
雷達回波功率由雷達方程可以看出,回波功率與發射功率的平方、天線增益的平方、波長(系統參數)的平方和散射截面(目標參數)的乘積成正比,與遙感器到目標的距離的4次方成反比。在給定發射機的發射功率、接收機的靈敏度和目標的最大散射係數的條件下,從雷達方程可以求出雷達系統的最大探測距離。但由於散射係數等參數具有隨機性,因而這樣求出的探測距離也只有統計意義。
影響參數
為了正確解釋雷達圖像,必須透徹了解影響雷達回波的各種參數。這些參數主要包括系統參數:頻率、極化、入射角、觀察的幾何關係;地表參數:地物介電性質、地面幾何形態、地面粗糙度、體散射狀況。
頻率
在被動微波探測中,地物在不同頻率段的微波發射率不同。在微波雷達探測中,頻率也在多方面影響雷達圖像,重要的兩個方面是不同頻率作用下介質的介電常數不同、波長與散射體半徑的相對大小不同所引起的回波功率變化,以及微波穿透目標的深度不同所引起的體散射對回波的影響。介電常數對散射係數的影響將在後面有更多的說明。頻率對目標散射係數的定量影響要視目標的物理和幾何特性而定,可能隨頻率增大而增大,也可能相反。穿透深度引起體散射的變化,則如低頻L或P波段可以穿過樹冠到達樹枝樹幹,通過體散射獲得更多有關生物量的信息。高頻如X或K波段可以提供更多關於樹梢樹葉(面散射)的信息,如ERS-1和RADARSAT的C波段感測器獲取的圖像可以給用戶提供關於目標的地表及近地表的信息,JERS一1具有的L波段感測器可提供地表下的一些細節信息。
極化
雷達可以以各種微波頻率發射和接收不同的極化波。一般地,與極化面一致的地面結構產生弱的回波信號,與地面結構垂直的極化產生強的回波。例如,垂直的小麥作物在VV(垂直極化)圖像上比在HH(水平極化)圖像上要暗一些。但地面物體的結構很複雜,而一個雷達分辨單元中包含有多種地物類型和不同的微結構,所以很難說某種極化方式就是最好的。國內有人試驗用HH、HV和VV三種方式的合成圖像,較好地識別出芭蕉、水稻、稻茬、水體、建築、水生生物的地物目標。通過由四種極化組合方式構成的散射矩陣,還可以求出任意極化下的散射係數。
入射角
雷達回波功率
雷達回波功率
雷達回波功率對於平坦的地表,入射角就是地表面(水平面)法線與入射線之間的夾角。但通常地表並不平坦,因此相對實際地表的局部表面的入射角,是微波入射波束的方向與局部地形表面法線之間的夾角,稱其為當地(或局部)入射角(見圖1)。入射角在0 至90 之間變化。當地入射角 與雷達波束俯角 和地形坡度角 有如下關係 :
雷達回波功率
圖1 入射角與本地入射角示意圖微波束的當地入射角是決定微波輻射後向散射強度的重要因素。小的入射角可接收到強的後向散射回波,大的入射角則可接收到弱的散射回波。當地入射角等於入射角時,回波來自水平地面;當地入射角小於入射角時,出現透視收縮現象,回波因此而集中增強(像元的亮度比同樣位置上水平地面像元的亮度要亮一些),在當地入射角為零時達到最大(開始出現疊掩現象);當地入射角大於入射角時,回波減弱;當地入射角大於90°時,出現陰影而無回波。
觀測的幾何關係
圖2 地物排列方向與觀測方向相互關係對回波的影響觀測的幾何關係指雷達觀測方向(微波束髮射方向)與地物之間的幾何關係。這種幾何關係對回波的影響包括幾個方面。局部入射角對回波的影響是其中之一,其中透視收縮、疊掩和陰影所產生的信息損失是無法恢復的。這使得雷達圖像在高峻的山區的套用價值減小。在可見光遙感中,很多陰影區處於感測器的視線範圍內,只是太陽直射光不能到達而產生陰影,但天空漫射光仍可照射地面,因此陰影區內的輻射信息並不是完全損失了。重疊象素的堆疊可以容易從山區的雷達圖像上觀察到,它一般在山峰頂點或山脈脊線的周圍出現一段比周圍像素亮一些的弧,這些弧還給人一種地形的某種程度的變形的感覺。定量估計這種重疊的影響的方法是,計算地形比例因素,它是單位垂直地形起伏(高度)上的視水平位移。如果該因子大於2.5,一般認為該雷達圖像不宜作專題圖分類。對回波產生影響的另一幾何因素,是地物的地面排列方式與雷達觀測方向的關係。相同的成行排列的地物(如排成一組線狀的農作物或地質構造),從不同的方向進行探測時,雷達圖像差別很大。當觀測方向(距離方向)與地物排列線平行時,後向散射較弱,雷達圖像較暗;觀測方向與之垂直時,後向散射較強,圖像較亮(圖2)。
表面形態
對雷達遙感來說,地表面形態可以考慮分為三類:鏡面反射表面、漫反射表面和角反射表面。
鏡面反射表面是光滑的表面,入射波束的傳播完全遵守反射定律,其近似的例子是平靜的水面。由於鏡面反射不能產生後向回波,所以平靜水體的後向面散射幾乎為零,在雷達圖像上呈黑色調。當水面具有波紋且與雷達束波長相當時,水面會對雷達波產生中等強度的散射,當水波破碎時,可接收到更強一些的回波。
漫反射表面是粗糙的地表面,散射在不同空間方向上發生,但通常散射強度是各向異性的(此處漫反射不是指朗伯反射面)。這是陸地表面最普遍的散射表面類型。
角反射表面是相鄰表面之間構成直角的表面。角反射的幾何特點是,不論入射波束的入射角怎樣,它的任何反射回波可以嚴格以入射方向的逆方向被接收到。因此角反射具有很強的回波,如為金屬角反射體,則反射最強。特殊製作的金屬角可用做野外的地面控制標誌。
表面粗糙度
鏡面和角面可以看做規則的地面形態,而漫反射面則是不規則的地面形態。漫反射面用粗糙度來量化它的粗糙程度。地面越粗糙回波越強,粗糙度一項的變化可引起後向散射達40分貝的變化。根據瑞利準則,粗糙度的影響在一定程度上可以被感測器的微波頻率和入射角的大小所控制,但對於衛星雷達感測器其頻率和入射角一般是確定的。
復介電常數
介電常數是度量電介質在入射輻射場的激勵下回響極化的能力的物理量(此處極化不是偏振的概念),它反映了介質由自身性質與周圍環境所決定的電特性。電介質極化的微觀機理有極化分子的取向極化、離子和電子位移極化等。在回響外場的極化過程中,存在電導和熱損耗,用復介電常數可以統一表達介質極化回響和損耗的特性 :
雷達回波功率
雷達回波功率
雷達回波功率
雷達回波功率式中, 為復介電常數; 為表征介質的介電特性; 為表征介質的耗散特性(與電導率和頻率有關)。
在自然物體中,水具有很高的介電常數(80)。其他物體往往隨其含水量的多少而介電常數發生變化,如土壤的介電常數隨含水量的增加而幾近線性增加。介電常數與頻率有關,此外介電常數還是溫度和壓力的函式。
無論介質是面散射還是體散射,散射強度均與介質的介電常數有很大關係。一般來說,物體的散射係數與介電常數的平方根成正比。水、鹽、金屬、生長的植物比岩石、乾燥的土壤和沙地、死亡的植物介電常數高,因此前者的散射係數比後者高。介電常數在微波遙感中是一個極其重要的參數。因其與介質自身性質有關,故可利用散射係數識別目標;又因其與環境狀況有關,故又可利用散射係數反演環境參數。在其他條件相同時,介電常數較高的物體在圖像上比介電常數較低的物體顯得明亮。在雷達圖像中,灌溉後的耕地比不灌溉的耕地更亮,雨後的森林比雨前更亮。
由於土壤和植物的微波反射率很強烈地依賴於其濕度情況,因此SAR的一個重要的潛在套用就是測量土壤濕度,這對作物產量(收成)的預測十分重要。

