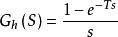
零階保持器零階保持器的傳遞函式為:
零階保持器相應的z變換為:
零階保持器相應的時域表達式為:

零階保持器:zero-order holder(ZOH) ,是指實現採樣點之間插值的元件。零階保持器基於時域外推原理,能夠把採樣信號轉換成連續信號。 保持器的作用是將離散信號轉換為連續信號,這個連續信號近似的重現了作用在採樣器上的信號。最簡單的保持器是將採樣信號轉變為在兩個連續採樣瞬時之間保持常量的信號,這種保持器,叫做零階保持器。 零階保持器的作用是在信號傳遞過程中,把第nT時刻的採樣信號值一直保持到第(n+1)T時刻的前一瞬時,把第(n+1)T時刻的採樣值一直保持到(n+2)T時刻,依次類推,從而把一個脈衝序列變成一個連續的階梯信號。因為在每一個採樣區間內連續的階梯信號的值均為常值,亦即其一階導數為零,故稱為零階保持器 。
零階保持器零階保持器的傳遞函式為:
零階保持器相應的z變換為:
零階保持器相應的時域表達式為:
防滑器通常套用於高速機車車輛上,其作用是防止在車輪滾動過程中輪軌之間縱向發生嚴重的相對滑動,以免造成車輪踏面嚴重擦傷。制動滑行過程中,制動摩擦力隨車輪轉...
產品用途 套用領域大唐無雙零是由網易公司自主研發的一款角色扮演電腦客戶端遊戲,遊戲於2014年8月22日開啟公測。遊戲以隋末唐初時期的歷史為主題,為玩家提供了七大門派七大...
背景設定 角色設定 物品道具 場景地圖 特色系統《伏魔天階》情節跌宕起伏、扣人心弦,是一本情節與文筆俱佳的小說,提供最新章節列表目錄在17k小說網,作者端木雲鵬於2015年創作的現代修仙文,乾淨、清爽...
基本信息 導讀 作品簡介 創作背景 主要角色《大唐無雙零》是由網易公司自主研發的一款角色扮演電腦客戶端遊戲,遊戲於2014年8月22日開啟公測。 遊戲以隋末唐初時期的歷史為主題,為玩家提供了七大門...
背景設定 角色設定 物品道具 場景地圖 特色系統,波動,幻影,迷霧,化身,亂空,總計十六個星紋第二副職業:星器師等階:造化已煉製星器:靈虛甲(六階防禦類);輔助類:靈虛之瞳第三副職業:鍊金師等階...一至六重階;7-9為準星煉者階;10-14為星煉者階;15-19為星鍊師...
作品簡介 作者簡介 主角信息 境界設定 世界觀作者簡介蝴蝶安安蝴蝶安安:字:長笑,原名:王金霞,英文名: Babarar,出生地:甘肅白銀,就讀地:江西南昌,現居地:中國北京...
作者簡介 人物評價 完結小說代表 連載中小說 電影文學作品。喜歡吉器美。 軌道 玉座一家 Ⅲ (米歇爾·阿克雷德) 聲優:池田恭祐...) 聲優:入野自由 卡組:升、降階向No.卡組 王牌: No.39 希望...」。到處和游馬和星光作對。 真月零 聲優:日野聰 卡組:閃光卡組 第二季...
故事簡介 角色介紹 製作人員 相關設定 No.卡的是 n階保持器。(1) 零階保持器(常值外推)。對於式(1),當n=0時,得到零階保持器的外推公式 離散相似法 離散相似法 零階保持器的衝激回響函式如圖2(a)所示。回響的幅值為1,寬度為T。這個特性表明零階保持器...
簡介 離散相似法的基本原理 保持器的類型 Z域離散相似法 時域離散相似法