定義
零升迎角是指升力係數為零時所對應的迎角 ,是零升力線與弦線之間的夾角,也稱零升迎角,在這一攻角附近, 機翼的阻力最小。對稱翼型的零升迎角等於零,非對稱翼型的零升迎角不等於零,具有正彎度的翼型其零升迎角為一個小的負角度。
迎角
迎角(Angle of attack)對於固定翼飛機,機翼的前進方向(相當於氣流的方向)和翼弦(與機身軸線不同)的夾角叫迎角,也稱為攻角,它是確定機翼在氣流中姿態的基準。
對於直升機和旋翼機,迎角的表示方法與固定翼飛機略有不同,它是指與前進方向垂直的軸和旋翼的控制軸之間的夾角。
迎角是重要的飛行參數之一,飛行員必須使飛機在一定的迎角範圍內飛行。所以有的飛機有一塊專門指示迎角的儀表——迎角表。有的飛機還有失速警告系統。當實際迎角接近臨界迎角而使飛機有失速的危險時,失速警告系統即發出各種形式的告警信號。
升力
升力,就是向上的力。 使你上升的力。 有很多種了。一般都是說在空氣中。 也就是向上的力大於向下的力,其合力可以使物體上升。 這個力就是升力。升力的成因較複雜,因為要考慮實際流體的粘性、可壓縮性等諸多條件。目前大多用的是庫塔儒可夫斯基定理,它是工程師計算飛機升力最精確的方法。具體內容就是由繞翼環流導致升力,產生了上下壓力差,這個壓力差就是升力 (Y),升力和向後的誘導阻力(d)合成為空氣動力(R)。流過各個剖面升力總合就是機翼的升力。升力維持飛機在空中飛行。
升力係數
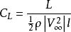
升力係數是一個無量綱量,指物體所受到的升力與氣流動壓和參考面積的乘積之比。
升力係數定義為:
零升迎角
零升迎角
零升迎角式中 l為特徵尺度,在圓柱和翼型問題中分別是圓柱直徑和弦長。將茹科夫斯基公式代入上式,可得升力係數的表達式。在—定馬赫數下,舉力係數隨飛行器的攻角α而變化,當 α不大時, 隨 α的變化是線性的。
有關研究表明,升力係數的影響因素如下:
(1)在試飛中所採用的發動機推力是影響計算的主要因素之一,所以必須保證計算中採用的發動機推力數據是經飛行試驗驗證的推力數據。
(2)準確的飛行高度是得到推力、大氣密度等參數的前提,所以試飛中一般採用由前支桿或拖錐測量出高度的位置誤差修正量,經位置誤差修正後才能得到準確的(經位置誤差修正的)氣壓高度值。
(3)飛機的重心位置不同,配平飛機(縱向)的平尾偏角就不同,試飛數據的重心應根據飛機的裝載及燃油量數據確定的、與風洞結果相比必須考慮、重心位置誤差的影響。
升力曲線
升力曲線指升力係數隨迎角變化的關係曲線。零升迎角就是升力曲線過零點是對應的迎。

