基本概念
模糊系統(fuzzy system),是一種將輸入、輸出和狀態變數定義在模糊集上的系統,是確定性系統的一種推廣。模糊系統從巨觀出發,抓住了人腦思維的模糊性特點,在描述高層知識方面有其長處,可以模仿人的綜合推斷來處理常規數學方法難以解決的模糊信息處理問題,使計算機套用得以擴大到人文、社會科學及複雜系統等領域。它能夠較好地解決非線性問題,現已廣泛套用於自動控制、模式識別(pattern recognitioy)、決策分析(decesion analysis)、時序信號處理,以及人機對話系統、經濟信息系統、醫療診斷系統、地震預測系統、天氣預報系統等方面。
離散系統,即離散時間系統,是將離散時間輸入信號變換為離散時間輸出信號的系統,對於控制系統來說,有一處或幾處信號是一串脈衝或數碼的控制系統是離散系統。採樣和量化是離散系統中十分重要的兩個信號處理過程。
模糊控制系統分為連續模糊控制系統和離散模糊控制系統。離散模糊系統即同時符合離散系統和模糊系統特徵的系統,該系統具備離散信號的特點,同時是一種將輸入、輸出和狀態變數定義在模糊集上的系統,是確定性系統的一種推廣。
離散模糊控制器
設計思路
許多實際的電學、機械和混沌系統等非線性系統部可以由T-S模型表示一對這類模糊系統,利用PDC原理設計模糊控制器是直觀而自然的。
基本思路為:首先對系統的每一個子系統分別設計局部控制器,然後由各局部控制器組成模糊控制器,模糊控制器共享該系統的前提條件。
離散型隸屬度函式
Mamdani教授(Mamdani模糊系統提出者)最初所用的模糊變數分為連續型和離散型兩種型式,因此隸屬度函式的型式也可以分為連續型與離散型兩種。由於語言變數及相對應隸屬度函式選擇的不同,將形成許多不同的模糊控制器架構。Mamdani教授除了使用連續型全集合之外,也使用了由13個元素所構成的離散合。由於用微處理機計算時使用整數比用(0,1)之間的小數更方便,模糊集合的隸屬度均以整數表示。
模糊控制理論發展之初,大都採用吊鐘形的隸屬度函式,而近幾年幾乎都已改用三角形的隸屬度函式,這是由於三角形隸屬度函式計算比較簡單,性能與吊鐘形幾乎沒有差別。
離散模糊控制模型
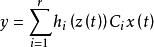
離散模糊模型是由一組“If-then”模糊規則來描述非線性系統,每一個規則代表一個子系統,整個模糊系統即為各子系統的線性組合。典型的為離散T-S模型,令Ri表示模期系統的第i條規則,則離散T-S模型描述如下:
離散模糊系統
離散模糊系統
離散模糊系統
離散模糊系統
離散模糊系統
離散模糊系統Ri:If is ,and ...,and is ,then , 。
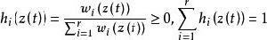
離散模糊系統式中, 為條件變數,Mij為模糊集合,r為模糊規則個數,x(f)、u(t)、y(t)分別為系統的狀態、控制輸入和觀測輸出。給定(x(t),u(t)),模糊系統的輸出為各子系統輸出的加權平均。即
離散模糊系統
離散模糊系統其中
離散模糊系統且
離散模糊系統
離散模糊系統
離散模糊系統
離散模糊系統表示 屬於模糊集台Mij的隸屬度,z(t)可指定為系統狀態向量或其它向量。
離散模糊Lyapunov方法及其穩定性條件
由於T-S模糊控制方法在難於建立精確數學模型系統中的套用日益受到人們的重視,T-S模糊控制系統穩定性問題的研究也取得了許多成果,這些結果大部分以Tanaka等提出的公共Lyapunov函式解法為基礎。
模糊Lyapunov函式是係數與模糊規則權重相對應的複合(multiple)型Lyapunov函式:
離散模糊系統考慮離散系統
離散模糊系統
離散模糊系統
離散模糊系統是向量函式,並且對於所有的k滿足f(0)=0。如果有在x(k)上連續的標量函式 使得:
(1)v(0)=0;
離散模糊系統
離散模糊系統(2)對於 , >0;
離散模糊系統
離散模糊系統(3)當 時, 趨向於無窮;
離散模糊系統
離散模糊系統(4)對於 , ;
離散模糊系統那么,平衡態x(k)=0對所有的k全局漸近穩定,且 是Lyapunov函式。
發展及套用
20世紀80年代以來,模糊控制技術及其理論取得了很大的發展。近幾年,模糊控制系統的穩定性分析和系統設計倍受關注,取得了一些有益的成果,但仍未形成系統的理論體系。1985年,Takagi和Sugeno建立了模糊狀態模型(T-S模型),該模型的後件參數可以描述為線性狀態空問方程,利用線性控制理論和方法建立模糊控制系統的理論體系成為可能。T-S模型的穩定性分析以Lyapunov穩定理論為基礎,需要對各模糊子系統尋找一個共同的正定矩陣P滿足一個線性矩陣不等式族,從而使全局系統漸近穩定。其難點在於P的求解一直沒有較好的方法,套用受到限制。
由於T-S模糊控制方法在難於建立精確數學模型系統中的套用日益受到人們的重視,T-S模糊控制系統穩定性問題的研究也取得了許多成果,這些結果大部分以Tanaka等提出的公共Lyapunov函式解法為基礎。模糊系統穩定性分析問題可以轉化為對一組線性矩陣不等式族求解穩定的Lyapunov函式,可以利用LMI凸最佳化技術來尋求滿足穩定條件的反饋增益矩陣。對這類問題的求解,現在已有成熟的LMI-lab工具箱,求解比較容易。

