基本定義
在一個動力系統中,雙穩態意味著系統有兩個穩定平衡狀態,這兩個穩定態未必在儲能上對稱。在勢能方面,一個雙穩態系統有兩個局部勢能極小值,它們之間有一個局部極大值。一個雙穩態的機械設備的例子是燈的開關,開關要么“開”要么“關”,但不會在二者之間停留。
在保守力場中,雙穩態基於勢能有三個平衡點的事實,其中兩個極小,一個極大。通過數學討論可知,極大值一定在兩個極小值之間。一個處於基態的粒子位於兩個平衡點中的一個,因為這對應著能量最小值。最大值可以被看作它們之間的一道屏障。
如果一個系統獲得足夠的活化能來穿過屏障(在化學例子中對比活化能與阿倫尼烏斯公式),那么它就可以從一個能量最小態過渡到另一個能量最小態。達到界限後,系統會在鬆弛時間後進入另一個能量最小態。
生物中的雙穩態雙穩態在數字電子設備中被廣泛用於存儲二進制數據。一個雙穩態設備以一種狀態代表“0”,另一種狀態代表“1”的形式儲存1比特的二進制數據。它同樣被套用於張弛振盪器、多諧振盪器及施密特觸發器。視覺雙穩態是一些特定的視覺設備的分布,根據輸入,這些設備中有兩個穩定的共振的傳送狀態。雙穩態也可以出現在生物化學系統中,它從持續的化學濃度和化學反應中產生數字式、開關式的輸出。在這些系統中雙穩態通常與滯後現象有關。
數學建模
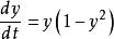
在動態系統分析的數學語言中,最簡單的雙穩態系統之一是
雙穩態
雙穩態
雙穩態
雙穩態
雙穩態這個系統描述了一個沿著曲線下滑的球,有三個定態:,,和.中間的定態是不穩定的,其它兩個是穩定的。y(t)隨時間變化的方向取決於初始條件y(0)。如果初始條件是正的,那么解y(t)隨時間變化趨於1;但如果初始條件是負的,那么解y(t)隨時間變化趨於-1.因此,這個動力系統是“雙穩態”的。根據初值的不同,終態即可能是y=1也可能是y=-1.
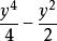
可以通過系統=y(r-y)來理解雙穩態區域的表型,這個系統經歷了一個分岔係數是r的超臨界叉式分岔。
正反饋循環促成全或無反應
正反饋循環促成全或無反應生物和化學系統
雙穩態在理解細胞的基本功能中起到關鍵作用,這些功能包括細胞周期中的決策過程,細胞分化以及凋亡。它也與在癌症發病的早期活動、朊病毒病及新物種產生時的細胞動態平衡失調有關。
雙穩態可以產生於一個含有超靈敏調節步驟的正反饋循環,例如X激活Y,Y激活X的簡單模式。正反饋循環將輸出信號與輸入信號相連,已被研究證實是細胞信號轉導中的重要調控機制,因為正反饋循環能通過全或無決策產生開關。研究顯示大量生物系統,爪蟾卵成熟 、哺乳動物鈣信號轉導以及出芽酵母的極化等大量生物系統已被研究證實具有短暫的(或快或慢的)正反饋循環,或者出現在不同時刻的不止一個正反饋循環。具有兩個不同的短暫正反饋循環或“雙時開關”可以造成:(1)增強調節:兩個有獨立可變化的活化和去活化時間的開關;(2)多時間尺度上可以過濾噪音的相關聯的反饋循環。
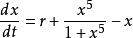
雙穩態在一個生物化學系統中雙穩態也可以僅在參數在特定區間中取值時產生,此時參數常代表著反饋的強度。在一些典型的例子中,系統僅有一個在參變數值很小時達到的穩定不動點。在參變數特定取值處一個鞍結點分支產生一對新的不動點,一個穩定另一個不穩定。不穩定的不動點再產生在參數值更大時有穩定解的另一個鞍結點分支,只留下更大的定解。因此,對兩個特定值之間的參數值,系統有兩個定解。一個具有類似特點的動力學系統的是, x是輸出,r是參數,看作輸入。
雙穩態可以被修飾得更穩健,從而能經受反應物濃度的顯著變化而仍然保持“開關”式的特徵。針對活性劑和抑制劑的反饋都能使系統經受大範圍的濃度變化。例如,在細胞生物學中,被激活的CDK1(周期蛋白依賴性蛋白激酶1)激活它的活性劑Cdc25,同時抑制它的抑制劑Wee1,從而使得細胞進入有絲分裂過程。如果沒有這個雙反饋,系統仍將是雙穩態的,但將不能經受如此大範圍的濃度變化。
雙穩態在果蠅的胚胎髮育中也有體現,例如前後軸、背腹軸的形成及眼的發育。
生物系統中雙穩態的一個重要例子是音蝟因子(Shh),這是一種在發育中起關鍵作用的分泌信號分子。Shh在包括 肢芽組織分化的多種發育過程中發揮作用。Shh信號網路是一個能使細胞在Shh精確濃度下作出反應的雙穩態開關。Shh激活gli1和gli2轉錄,它們的基因表達產物即是它們自身的轉錄激活因子也是Shh通路中下游靶標的激活因子。同時,Shh信號網路被負反饋調節循環控制,Gli轉錄因子增強了一種阻遏蛋白(Ptc)的轉錄。這個信號網路表明,同時存在的正反饋循環和負反饋循環精確的靈敏性有助於產生雙穩態開關。
只有生物和化學系統滿足如下三個必要條件時才會出現雙穩態:正反饋,過濾掉小型刺激的機制和阻遏無邊際增長的機制。
在弛豫動力學、非平衡態熱力學、隨機共振和氣候變化等領域,雙穩態化學系統被廣泛研究。在雙穩態空間擴展系統中,人們分析了局部相關性的產生以及行波的傳播。
雙穩態常伴隨著滯後現象。在種群水平,如果考慮許多雙穩態系統的實現(例如物種形成時的許多雙穩態細胞),很容易觀察到雙峰式分布。在種群水平,結果可能看起來僅僅是光滑過渡,這也體現出單細胞分辨的價值。
細胞可以對逐漸變化的濃度突然應答機械系統
雙穩態是一種材料在一個給定的溫度範圍內呈現兩種可以同時存在的穩定的相的能力,但是在該範圍之上或之下,只有一種相能存在。
在機械系統的設計中雙穩態通常被稱為“偏心”——即使系統恰好移動過其峰值,在該點機械系統“偏離中心”進入其第二個穩定點。這樣的結果就是切換式行為,作用於臨界值以下的、足夠使其“偏心”的作用將不對機械系統的狀態產生影響。
彈簧是一種常見的實現“偏心”過程的方法。一個與棘齒連線的彈簧能產生按鈕或活塞,進而在兩個機械狀態間切換。許多原子筆和滾珠筆都採用了這種雙穩態機制。

