雙曲線的標準方程設雙曲線的焦距為2c,雙曲線上任意一點到焦點F1,F2的距離的差的絕對值等於常數2a(c>a>0)
以F1,F2所在直線為x軸,線段F1F2的垂直平分線為y軸,建立直角坐標系xOy,則F1,F2的坐標分別為(-c,0),(c,0)
設M(x,y)為雙曲線上任意一點,根據雙曲線定義知
|MF1-MF2|=2a
雙曲線的標準方程即| |=2a
雙曲線的標準方程化簡得
雙曲線的標準方程因為
雙曲線的標準方程
雙曲線的標準方程所以令 (b>0)得
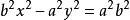
雙曲線的標準方程
雙曲線的標準方程兩邊除以 得 (a>0,b>0即焦點在x軸上)
雙曲線的標準方程
雙曲線的標準方程類似可以得到焦點為F1(0,-c),F2(0,c)的雙曲線的方程 (a>0,b>0即焦點在y軸上)
以上兩種方程都叫做 雙曲線的標準方程

