概況
隨機微分方程(SDE)形如
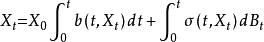
隨機微分方程其積分形式為
隨機微分方程
隨機微分方程
隨機微分方程
隨機微分方程此方程的解 稱為伊藤過程 或擴散過程(diffusion process)。在一定條件下,隨機微分範疇的解是存在唯一的。
鞅
令
隨機微分方程
隨機微分方程
隨機微分方程
隨機微分方程由伊藤公式可得到 是鞅。這建立了擴散過程()與二階微分運算元 L 之間的聯繫。更進一步,可以給出拋物線方程解的隨機表示。
套用
隨機微分方程包括鞅表示論、變分不等式和隨機控制等內容。
隨機微分方程在數學以外的許多領域有著廣泛的套用,它對數學領域中的許多分支起著有效的聯結作用。

