降冪公式
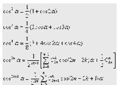
降冪公式:(cosa)^2=(1+COS2a)/2
sin^2a=(1-COS2a)/2
X的n次方。X是底數,n是冪次(故又稱X的n次冪)
只有冪次n相同的項才能進行混合運算。降冪就是把n的數值減小以利於運算

把一個多項式的各項按照某個字母的指數從大到小的順序排列,叫做這一字母的降冪。
降冪公式:(cosa)^2=(1+COS2a)/2
sin^2a=(1-COS2a)/2
X的n次方。X是底數,n是冪次(故又稱X的n次冪)
只有冪次n相同的項才能進行混合運算。降冪就是把n的數值減小以利於運算
在數學學習中,很多同學不明白什麼是降冪,怎么進行降冪運算,本文收錄了部分降冪公式,幫助同學更好地解決難題。降冪公式,其實就是降低指數冪由2次變為1次的公...
降冪公式 推導公式從大到小的順序排列,寫成,這叫做把多項式按字母x的降冪排列,若按x指數...,應理解透概念。(2)看清是降冪還是升冪排列。(3)降冪和升冪排列都是以...多項式按這個字母降冪排列 ...
總概念 單項式 多項式 同類項 乘法及諭、玉清內相呂大帝降諭、玉清上相孚佑帝君降冪、玉皇誥章等。玉清上相孚佑帝君降冪提到“光緒丙申年四月望日醜刻,玉清上相孚佑帝君降於龍州保元宮聖壇...上相孚佑帝君降冪,以進一步瞭解是經功用耳:“序。祥光駕起遍三千,奉旨巡遊敢...
內容簡介MATLAB函式查詢及套用案例本書結合科學研究和工程中的實際需要,系統、全面地介紹了MATLAB的常用函式。主要內容包括...
內容簡介 目錄α)^2]降冪(半角)tan2A=2tanA/[1-(tanA)^2...)/sinA=sinA/(1+cosA)用二倍角中的餘弦可推出降冪公式...)/2用以上降冪公式可推出以下常用的化簡公式 1-cosA=sin...
正弦二倍角 餘弦二倍角 正切二倍角 降冪(半角)基本解釋: 1.謂古代喪禮中後升阼階者先下的儀式。 詞語分開解釋: 基本解釋:逆 nì 方向相反...
基本解釋: 詞語分開解釋: 相關詞語或使飛機著陸後得到減速 ◎ 降冪jiàngm...按照某一個字母的指數逐漸減少的順序排列,叫做這一字母的降冪如 a +{3}-2b a +{2}+a b +{3}為a的降冪 ◎ 降旗 ji...
基本字義 詳細字義 常用詞組 方言集匯 康熙字典主元法所謂主元法分解因式就是在分解含多個字母的代數式時,選取其中一個字母為主元(未知數),將其它字母看成是常數,把代數式整理成關於主元的降冪...,但是用主元法的話,也十分簡便。拆開原式,並按a的 降冪排列得:(b+c...
主元法 主元法的利用 曠世難題型的因式分解