阻抗變換器
正文
使入端阻抗與出端阻抗形成一定關係的二連線埠網路。1954年J.G.林維爾把負阻抗變換器用於有源濾波器並建立了有關理論。隨著積體電路技術的進步,使用集成運算放大器構成阻抗變換器,已成為有源濾波器設計的基本方法。
阻抗變換器可分為廣義阻抗變換器 (GIC)和廣義阻抗倒量器(GII)兩種。
廣義阻抗變換器 對於圖1的二連線埠網路,輸入電壓U1(s)、輸入電流I1(s)與輸出電壓U2(s)、輸出電流I2(s)的關係,可根據電路傳輸方程寫為
(1)
(2)
阻抗變換器廣義阻抗倒量器 對於圖1的二連線埠網路的四個參數,若A=D=0,但B、C厵0,那么兩個連線埠上的阻抗關係將為
(3)
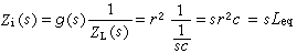
迴轉器 一種常用的阻抗倒量器,它的網路參數B=r,C=1/r,倒量變換因子g(s)=B/C=r2。式中r為正實常數,稱為迴轉電阻。當在迴轉器的一個連線埠上接電容器C 時,其另一個連線埠的阻抗將呈感抗特性,即依式(3)有
(4)
稱為模擬電感值。如C=1微法,r=10千歐,即可用以模擬一個100亨的電感器。 阻抗變換器的變換內容和電路形式很多。圖2a是由運算放大器組成的一種典型的 GIC電路。若運算放大器是理想的,則該電路的輸入阻抗為
(5)
(6)
。
阻抗變換器
(7)
(8)
用兩個運算放大器可實現迴轉器電路。若運算放大器為理想器件,且負載端接電容器C,則從輸入端看進去的輸入阻抗等效為一個電感
。 此外,用來實現阻抗變換的網路元件尚可舉出變壓器、射極跟隨器和各種傳輸線元件。
參考書目
M.S. Ghausi,K.R. Laker,Modern Filter Design, Prentice-Hall, Inc., Englewood Cliffs, New Jersey,1981.

