鐘慢名稱
定義
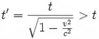
設s係為本徵參考系。在s系中有一段時間差δt,即A(x1,ict1),B(x2,ict2)。在s'系中,時間差即為坐標在ict'分量上的差,即AB'=ABCOSθ=ABr
故鐘慢。

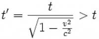
鐘慢 設s係為本徵參考系。在s系中有一段時間差δt,即A(x1,ict1),B(x2,ict2)。在s'系中,時間差即為坐標在ict'分量上的差,即AB'=ABCOSθ=ABr
鐘慢設s係為本徵參考系。在s系中有一段時間差δt,即A(x1,ict1),B(x2,ict2)。在s'系中,時間差即為坐標在ict'分量上的差,即AB'=ABCOSθ=ABr
故鐘慢。
鐘慢尺縮:亦稱時慢尺縮。根據愛因斯坦的狹義相對論,特別是其中提出的鐘慢尺縮論斷。當一個物體運動速度接近光速時,物體周圍的時間會迅速減慢、空間會迅速縮小。...
區別一 區別二男子50米手槍慢射,第29屆奧運會射擊比賽項目之一。在現代奧運史上,除了1904年第3屆奧運會和1928年第8屆奧運會外,射擊在其餘各屆奧運會中都是正式...
簡介 競賽規則 比賽環境 觀賽禮儀 比賽場館時間膨脹(time dilation)。狹義相對論預言,運動時鐘的“指針”行走的速率比時鐘靜止時的速率慢,這就是時鐘變慢或時間膨脹,又稱鐘慢效應,是相對...
鐘慢效應簡介 推論 原子鐘尺縮鐘慢效應原因異解 黑洞的時間凍結與鐘慢效應況鍾(1383-1443年1月30日 )明代官員,字伯律,號龍崗,又號如愚,漢族,江西靖安縣龍岡洲(今江西省靖安縣高湖鎮崖口村)人。 況鍾早年曾在尚書呂...
人物生平 主要成就 人物評價 軼事典故 親屬成員慢運動是慢生活內容之一。由慢速度、慢動作組合而成,具體形式通常是一些強度較小、節奏較慢的適宜長期練習的休閒體育項目。比如瑜伽、太極拳、散步、檯球、釣魚、...
運動形式 運動背景 相關評論 流行原因“慢投壘球”運動是20世紀後期由棒壘球運動衍生出來的新興體育休閒運動項目。它繼承了棒壘球運動團結協作,勇敢智慧的特點,突出了棒壘球運動的遊戲性;同時,簡...
簡介 發展概況 精神和文化 台灣慢投壘球的發展 意義岳鍾琪(1686年11月8日—1754年),字東美,號容齋,四川成都人 ,原籍涼州莊浪(今蘭州永登)。岳飛二十一世孫,四川提督岳升龍之子,清代康熙、雍正...
人物生平 主要成就 歷史評價 家族成員 後世紀念鍾泄,謂蓄洪和放水。
基本解釋: 詞語分開解釋: 相關詞語