區別一
鐘慢、尺縮、時間倒流,都可以用聲音試驗做出類似的結果。在物理上被稱為都卜勒效應。
如果一個鍾,以0.5倍聲速從原點遠去,我們會聽到什麼現象呢?
一秒鐘時,它距離原點0.5聲秒距離報1秒,但這個事件我們在原點聽見,需要再過0.5秒,於是我們發現,在本地鍾1.5秒時,遠處的鐘報1秒,本地鍾3秒時,遠離的鐘報2秒,也就是我們在忽略信號傳遞時間時,誤以為遠去的鐘慢了。而且速度越快,鐘慢得越厲害。
假設有一把尺長1聲秒,而我們的測量地面上有一無限長尺子固定不動,運動尺頭尾各有一個探測裝置,在探測到與地面某一尺刻度重合時,用聲音報出該刻度,我們在地面尺原點接收聲音。尺勻速運動逐漸遠離,當尺尾報0聲秒時,尺頭已經距離我們1聲秒,而這個距離,要1秒後我們才能收到;當尺尾到1聲秒距離時,尺頭到2聲秒,還是要在我們收到尺尾報1聲秒後1秒,我們才能收到尺頭報2聲秒,於是我們會直觀的認為,尺尾先到刻度,尺頭後到達它本應立刻到達的刻度,感覺好像遠離的尺,縮短了。而且運動速度越快,感覺短的越厲害。
反過來,以超聲速靠近原點時我們將先聽到鐘敲3下,報3點,再聽到鐘敲2下,報2點,然後聽到鐘敲1下,報1點,這就是超過聲速時間倒流現象!
區別二
然而,儘管看起來相似,都卜勒效應和相對論中的鐘慢尺縮有以下幾點區別:
公式不同
鐘慢尺縮
鐘慢尺縮
鐘慢尺縮
鐘慢尺縮
鐘慢尺縮
鐘慢尺縮
鐘慢尺縮
鐘慢尺縮
鐘慢尺縮
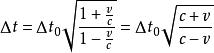
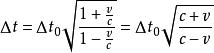
鐘慢尺縮觀測者相對於介質靜止時,都卜勒效應的“鐘慢”(或“鐘快”)公式為,其中為聲源相對於觀測者的遠離速度,接近時取負號,和分別表示觀測者聽到的時間和原有的時間,表示聲速。而相對論中慣性參考系的公式為,為原有的時間,為光源相對於觀測者的遠離速度,為光速。
.
t的含義不同
鐘慢尺縮
鐘慢尺縮
鐘慢尺縮
鐘慢尺縮
鐘慢尺縮
鐘慢尺縮
鐘慢尺縮在相對論中,的含義是首先先在觀測者所在參考系中的不同點校對時間以使時鐘同步。然後光源到哪裡,就用哪裡的時間。換句話說,光源到達A地方這個事件和到達B地方事件的時間間隔是指在觀測者所在參考系中A地方和B地方的時鐘所記錄的事件的發生時間的差。而在聲音實驗中,的含義是聲音傳到觀測者處的時間間隔。若在聲音實驗中採取相對論的含義,將得到;若在相對論中採取聲音實驗的含義,將得到光的都卜勒效應公式。
鐘慢尺縮
鐘慢尺縮都卜勒效應中遠離觀測者時出現“鐘慢尺縮”,接近觀測者時出現“鐘快尺漲”,這對應於公式中的正負號問題,而相對論無論接近還是遠離都是鐘慢尺縮,這對應於永遠非負的。如果雙生子中的一個以近光速往返,那么他(她)就會變得年輕,這裡的年輕是從細胞到記憶各個年齡指標的全面的內在的年輕。而如果只是以近聲速往返,那么接近和遠離的都卜勒效應剛好抵消,兩人年齡一致,只不過遠離時聽起來時間過得更慢,返回時時間聽起來過得更快罷了。
鐘慢尺縮在聲速實驗中可以出現超聲速,其後果是簡單的表象的“時間倒流”,就像你可以錄音後隨意地倒放錄音一樣,不會發生奇異現象,這對應於成為負數。光速實驗中不可以超光速,這對應於負數開根號,洛倫茲變換直接崩潰。所幸
鐘慢尺縮表明需要無限的能量因而不可能把靜止質量為正的物體增加到光速,更不可能出現超光速現象。至於萬一超光速了會發生什麼,與之相關的理論都不完善,而且存在很多矛盾和誤解,有待科學家進一步討論。一種說法是,超光速將導致內在的時光倒流,因而可能導致因果關係顛倒。

