簡介
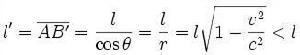
尺縮設s係為本徵參考系。其間有一段長度AB=l,則在s系中,按照測量的同時原則,應測量AB兩點在坐標系中同一時刻坐標差,那么,看到的B必在s系中早於A,記為B。
則,故尺縮。
或也可解釋為,長度AB即為同一時刻A、B兩點x坐標之差。A、B在s系世界線均平行ict軸(靜止),在s'系用平行x'軸的直線截它們即得l'=AB'。
鐘慢尺縮的另一種觀點
如果一個鍾,以0.5倍聲速從原點遠去,我們會聽到什麼現象呢?
一秒鐘時,它距離原點0.5聲秒距離報1秒,但這個事件我們在原點聽見,需要再過0.5秒,於是我們發現,在本地鍾1.5秒時,遠處的鐘報1秒,本地鍾3秒時,遠離的鐘報2秒,也就是我們在忽略信號傳遞時間時,誤以為遠去的鐘慢了。而且速度越快,鐘慢得越厲害。
假設有一把尺長1聲秒,而我們的測量地面上有一無限長尺子固定不動,運動尺頭尾各有一個探測裝置,在探測到與地面某一尺刻度重合時,用聲音報出該刻度,我們在地面尺原點接收聲音。尺勻速運動逐漸遠離,當尺尾報0聲秒時,尺頭已經距離我們1聲秒,而這個距離,要1秒後我們才能收到;當尺尾到1聲秒距離時,尺頭到2聲秒,還是要在我們收到尺尾報1聲秒後1秒,我們才能收到尺頭報2聲秒,於是我們會直觀的認為,尺尾先到刻度,尺頭後到達它本應立刻到達的刻度,感覺好象遠離的尺,縮短了。而且運動速度越快,感覺短的越厲害。
超過聲速理論上我們將追上鍾以前發出的聲音,也就是先聽到鐘敲3下,報3點,再聽到鐘敲2下,報2點,然後聽到鐘敲1下,報1點,這就是超過聲速時間倒流現象!
鐘慢、尺縮、超光速時間倒流現象,都可以用聲音試驗做出結果,這不違反任何經典理論,只是補充了伽利略、牛頓等人從未考慮過的問題,證明愛因斯坦的相對論,確實是解決接近光速運動會看到什麼現象的問題的,而他忽略了測量速度的問題,把現象當成了物理本質。照本文方法解釋相對論,雙生子悖論、子回到未生時殺父悖論都不存在。
