基本介紹
鏡面反射(mirror reflection)亦稱非特徵正交變換,又稱第二類正交變換,一種特殊的正交變換。設V是歐氏空間,α是V的非零向量。對任意的β∈V,由
鏡面反射變換
鏡面反射變換
鏡面反射變換決定的變換是滿足的正交變換,稱為由向量α決定的鏡面反射,其中為單位變換。若V是n維歐氏空間,則存在V的標準正交基,使鏡面反射τ在此基下的矩陣為
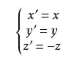
鏡面反射變換在歐氏空間中,把任一點A映成關於給定平面π對稱的點A′的變換稱為關於平面π的鏡面反射變換,平面π稱為反射平面。在空間直角坐標系中,若把坐標平面xOy取為反射平面,則鏡面反射變換的代數表達式為
鏡面反射變換其中(x,y,z),(x′,y′,z′)分別是變換前的點與變換後它的對應點的坐標 。
第二類正交變換
在解析幾何中,正交變換就是保持點之間的距離不變的變換,在一般的歐氏空間中也可引入正交變換的概念。
鏡面反射變換
鏡面反射變換正交變換歐氏空間V的線性變換稱為正交變換,如果,有
鏡面反射變換
鏡面反射變換
鏡面反射變換
鏡面反射變換
鏡面反射變換
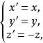
鏡面反射變換因為正交矩陣是可逆的,所以正交變換是可逆的。由定義不難看出,正交變換實際上就是一個歐氏空間到它自身的同構映射,因而正交變換的乘積以及正交變換的逆變換也是正交變換。在標準正交基下,正交變換與正交矩陣對應,因此,正交矩陣的乘積與正交矩陣的逆矩陣也是正交矩陣,如果U是正交矩陣,那么由可知,正交變換的行列式等於+1或者-1,行列式等於+1的正交變換通常稱為 旋轉,或者稱為 第一類的正交變換;行列式等於-1的正交變換稱為 第二類的正交變換。例如,在歐氏空間中任取一組標準正交基,定義線性變換為:,那么,就是一個第二類的正交變換,從幾何上看,這是一個鏡面反射 。
鏡面反射變換
鏡面反射變換
鏡面反射變換定理1 歐氏空間V的線性變換是正交變換的充要條件是,有。
鏡面反射變換定理2 若V是n維歐氏空間,,則下列條件等價:
鏡面反射變換(1)是正交變換;
鏡面反射變換
鏡面反射變換(2)若是V的標準正交基,則也是V的標準正交基。
鏡面反射變換(3)在V的任意一組標準正交基下的矩陣是正交矩陣 。

