基本概念
如果一個圖形經過平面對稱後所得到的圖形仍是這個圖形本身,則這個圖形叫做關於平面的自相對稱的圖形,或叫做 面對稱圖形(如圖1,2所示)。如果一個圖形經過軸對稱後所得到的圖形仍是這個圖形本身,這個圖形叫做關於軸的自相對稱的圖形,或叫做軸對稱圖形,如果一個圖形經過中心對稱後所得到的圖形仍是這個圖形本身,則這個圖形叫做關於中心的自相對稱圖形,或叫做中心對稱圖形,這三種圖形統稱為 對稱圖 形。
在客觀實際中對稱圖形是一種常見的幾何圖形,例如自然界中的雪花和晶體、房屋建築、橋樑、桌子、碗、茶杯等等很多是對稱圖形,它們既美觀又實用。
圖1 | 圖2 |
三種對稱形式的關係
我們可以證明三種對稱形式之間有下面的關係.
面對稱空間圖形定理1 如果直線 和平面M垂直相交於O點,一個空間圖形具有下列對稱性:
1. 關於平面M對稱;
面對稱空間圖形2. 關於軸 對稱;
3. 關於中心O對稱。
中的任意兩個,則它一定具有第三個。
這個定理的意思就是在一定的條件下,如果一個圖形同時是兩種對稱圖形,那么它一定是第三種對稱圖形 。
面對稱空間圖形證明 下面只證明其中的一種情況,例如如果一個空間圖形關於平面M對稱,且關於中心O對稱,那么它一定關於直線 成軸對稱。其餘情況可同理推證。
圖3如圖3中,設A是圖形F上的任意一點,作A點關於平面M的對稱點A',再作A₁點關於O點的對稱
點A₂,由於圖形F是面對稱圖形,又是中心對稱圖形,所以A₁、A₂都在圖形F上。
面對稱空間圖形∵ ⊥平面M,AA₁⊥平面M,
面對稱空間圖形∴AA₁// ,
面對稱空間圖形AA₁和 確定平面P,則O點在平面P上,
∴A₁O在平面P上,A點也在平面P上,
面對稱空間圖形即A、A₁、A₂和 都在平面P上。
面對稱空間圖形連線AA和 交於C點,AA與平面M交於B點,連線OB,
∵AB= A₁B,OA₁= OA₂,
面對稱空間圖形∴AA₂//OB,而 ⊥OB,
面對稱空間圖形∴AA₂⊥ ,
面對稱空間圖形又AA₁// ,
∴AC= A₂C,
面對稱空間圖形∴A和A₂關於直線 成軸對稱
平面對稱(鏡面反射)
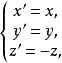
如果圖形F和F’的對應點的連線段均被某一固定平面σ垂直平分,則稱圖形F和F’關於平面一對稱,並把從圖形F到F’的變換叫做平面對稱變換,簡稱 面對稱。其中,平面σ叫做對稱平面,平面對稱變換又叫做平面反射、鏡面反射變換,簡稱鏡面反射或平面反射。歐氏空間中的一種特殊變換,在歐氏空間中,把任一點A映成關於給定平面π對稱的點A′的變換稱為關於平面π的鏡面反射變換,平面π稱為反射平面,鏡面反射是第二種正交變換,在鏡面反射變換下,連結變換的每一對對應點A,A′所得到的線段都垂直於反射平面π且被π所平分,平面π上的點都是不動點,鏡面反射變換在直觀上相當於把平面π看做一面鏡子,變換前後的對應點就好比是物與像那樣,在空間直角坐標系中,若把坐標平面xOy取為反射平面,則鏡面反射變換的代數表達式為
面對稱空間圖形其中(x,y,z),(x′,y′,z′)分別是變換前的點與變換後它的對應點的坐標。
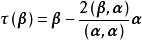
鏡面反射亦稱非特徵正交變換,又稱第二類正交變換,是一種特殊的正交變換。設V是歐氏空間,α是V的非零向量。對任意的β∈V,由
面對稱空間圖形
面對稱空間圖形
面對稱空間圖形
面對稱空間圖形決定的變換是滿足 的正交變換,稱為由向量α決定的鏡面反射,其中 為單位變換。若V是n維歐氏空間,則存在V的標準正交基,使鏡面反射 在此基下的矩陣為
面對稱空間圖形
圖1
圖2 