背景簡介
在靜電場中,如果在所考慮的區域內沒有自由電荷分布時,可用拉普拉斯方程求解場分布;如果在所考慮的區域內有自由電荷分布時,可用泊松方程求解場分布。如果在所考慮的區域內只有一個或者幾個點電荷,區域邊界是導體或介質界面時,一般情況下,直接求解這類問題比較困難,通常可採用一種特殊方法-鏡象法來求解這類問題。
鏡像法是直接建立在唯一性定理基礎上的一種求解靜電場問題的方法。適用於解決導體或介質邊界前存在點源或線源的一些特殊問題。鏡像法的特點是不直接求解電位函式所滿足的泊松或拉普拉斯方程,而是在所求區域外用簡單的鏡像電荷代替邊界面上的感應電荷或極化電荷。根據唯一性定理,如果引入鏡像電荷後,原求解區域所滿足的泊松或拉普拉斯方程和邊界條件不變,該問題的解就是原問題的解。
鏡像法原理
基本原理
鏡像法其基本原理是:用放置在所求場域之外的假想電荷(鏡像電荷)等效的替代導體表面(或介質分界面)上的感應電荷(或極化電荷)對場分布的影響,從而將求解實際的邊值問題轉換為求解無界空間的問題。
唯一性定理
鏡像法鏡像法解題的理論依據是唯一性定理。
其實電像法的目的就是要湊出若干個點電荷代替在分界面的感應電荷描述源所在空間的電勢或電場分布,這符合唯一性定理。
根據唯一性定理,鏡像電荷的確定應遵循以下兩條原則:1.所有的鏡像電荷必須位於所求的場域以外的空間中;2.鏡像電荷的個數位置及電荷量的大小由滿足場域邊界上的邊界條件來確定。
給定幾何形狀的導體,就是要湊出若干個點電荷使得分界面等勢。
鏡像點的求解
當有方向的射線到達障礙物(牆面)時,根據反射定理,將會發生反射作用,而如何確定反射射線,則是根據鏡像法完成,具體步驟如下:
鏡像點的求解;如果已經知道源點S和多面體面,根據鏡像法原理,由該多面體面反射的射線可以認為是從鏡像源點I直接輻射的射線。鏡像源點I的位置和實源點S對於多面體面所在的平面是對稱的。從實源點S的輻射特性以及多面體的電磁特性可以得到鏡像源輻射的場。對於已知的觀察點O,很容易知道反射點 R是線段IO和多面體面的交點。
對於一次反射來說,當所求空間域中有N個平面多面體面時,鏡象的數目將是N個。因此,到達一個觀察點的最大反射射線數目是N。
鏡像法可以用類似的方法分析二次反射射線。二次反射射線的源是一階鏡像(一次反射的鏡像)的鏡像,它們被稱為二階鏡像。由圖,兩個平面,S為傳送點,O為接收點,S關於平面1求鏡像點a,S及a關於平面1對稱,且連線垂直於平面1,鏡像點b關於平面2求鏡像點b,a及b關於平面2對稱,且連線垂直於平面2。則對於兩個平面來說,可以得到四個點:傳送點S,鏡像點a,鏡像點b,接收點O。即利用傳送點對平面1求鏡像點a,再利用已求得的鏡像點 a根據平面2求鏡像點b,以此類推可求得傳送點關於平面N的鏡像點N。
線電荷對導體圓柱面的鏡像的問題
問題
鏡像法在半徑為a的無限長接地導體圓柱外有一根與圓柱軸線平行的無限長線電荷,線電荷密度為,與圓柱軸線的距離為d,求柱外任意點的電位。
求解
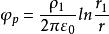
鏡像法無限長帶電直線的電位為:
鏡像法其中為帶電直線到電位零點的距離,q為為帶電直線到場點的距離。
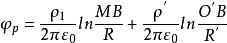
鏡像法如圖所示,設鏡像線電荷為,距O點的距離為dd,若取B點為無限長線電荷的電位參考點,則有
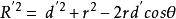
鏡像法對於柱面外任意一點P,有
鏡像法
鏡像法聯立各式得:
鏡像法
