歷史
1935年,在普林斯頓高等研究院,阿爾伯特·愛因斯坦、博士後納森·羅森、研究員鮑里斯·波多爾斯基合作完成論文《物理實在的量子力學描述能否被認為是完備的?》,並且將這篇論文發表於5月份的《物理評論》。這是最早探討量子糾纏的一篇論文。在這篇論文裡,他們詳細表述愛因斯坦-波多爾斯基-羅森佯謬,試圖借著一個思想實驗來論述量子力學的不完備性質。他們並沒有更進一步研究量子糾纏的特性。
薛丁格仔細閱讀了愛因斯坦研究團隊的論文。稍後不久,他發表了一篇論文,對於“量子糾纏”這術語給予定義,並且研究探索相關概念。薛丁格體會到這概念的重要性,他表明,量子糾纏不只是量子力學的某個很有意思的性質,而是量子力學的特徵性質;量子糾纏在量子力學與經典思路之間做了一個完全切割。為了進一步顯示量子力學的不完備性,薛丁格將量子力學套用到巨觀效應中,從而構思了著名的薛丁格貓思想實驗。這思想實驗明顯地呈現出量子至經典變遷的問題。
在之後40年,量子至經典變遷的問題並未得到解答,主要有兩個原因,一是由於物理學者認為這論題不常出現於巨觀世界,並且沒有什麼實際用途,二是由於物理學者並未發現環境會扮演那么關鍵的角色促成了量子至經典變遷1970年,德國物理學者漢斯·澤賀發表了首篇關於量子退相干的論文,他強調,所有巨觀系統都是開放系統,都會強烈地與環境相互作用.它們不會遵守薛丁格方程,因為,薛丁格方程只適用於孤立系統。這嶄新的量子退相干概念並沒有立刻吸引到學術界的注意。1981至1982年之間,波蘭物理學者沃傑克·祖瑞克在《物理評論D》發表了兩篇關鍵性論文,他指出經典系統自然而然地將內含的量子相干性泄漏至環境,因而導致量子退相干的後果,在處理波函式坍縮問題時,不能夠忽略這後果。祖瑞克的兩篇論文使得量子退相干成為熱門量子論題。1984年,祖瑞克推導出估算量子退相干時間尺度的公式,可以很容易地對於一般量子系統進行相關估算。隔年,澤賀與學生艾瑞曲·猶斯共同給出一個模型,能夠詳細地描述因環境粒子散射而產生量子退相干後果的全部過程。1991年,祖瑞克在《今日物理》發表了一篇論文,將量子退相干介紹給更廣泛學術界,從而引起更多物理學者注意到這學術領域的發展。
理論概述
開放系統
在經典物理里,孤立系統是一個很有用的概念。理想的孤立系統完全與外在環境相互隔絕,不會與外在環境耦合,不會與外在環境相互傳輸物質或能量,這樣,可以專注研究孤立系統,而不必顧慮到外在環境因素。例如,思考一個移動於空間的圓球,為了簡單化分析其感受到地心引力而呈現的運動軌道,可以忽略空氣阻力、微風、月亮引力或太陽引力的影響,將這圓球與地球所形成的系統視為一個孤立系統。
與孤立系統迥然不同,開放系統可以與外在環境耦合,可以與外在環境交換物質或能量。近幾十年來,物理學者逐漸發覺,當量子系統與外在環境耦合時,會產生量子糾纏,連帶地將量子系統內部的量子相干性逐漸泄露至外在環境,因此,開放系統成為促成量子退相干的重要概念。
退相干機制
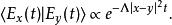
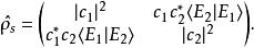
回想約化密度算符為
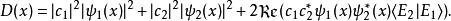
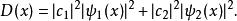
量子退相干在雙縫路徑實驗裡,從約化密度算符,可以計算出在探測屏位置為x的電子密度D(x):
量子退相干
量子退相干注意到最後一個實值項就是干涉項。當設定 趨於零時,這干涉項也會趨於零,因此,干涉圖案會消失無蹤,相位相干信息也不見蹤影,電子密度D(x)變為
量子退相干這就是量子退相干的效應。量子退相干不是一種量子力學詮釋,而是利用量子力學分析開放量子系統與環境相互作用所得到的結果。它嚴格遵守量子力學,並沒有對量子力學的基礎表述做任何修改。
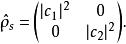
量子退相干由於設定 趨於零,約化密度算符被對角化:
量子退相干這意味著,相位相干信息已不再存在於量子系統層次,相位相干信息已泄漏至外在環境,只有從觀測整個系統,才能重新獲得相位相干信息。
只單獨考慮量子系統,其隨著時間流易的演化是呈非么正性,雖然量子系統與環境整體隨著時間流易的演化是呈么正性。這樣,量子系統的演化貌似具有不可逆性。由於環境擁有幾乎無窮大的自由度,而且很難適當地操縱環境,因此,一般而言,量子退相干具有不可逆性。
退相干時間尺度
量子退相干對於巨觀物體而言,由於外在環境會有很多微觀物體會與之相互作用,量子退相干是非常快速的過程,說明為什麼無法觀察到量子干涉行為。約化密度矩陣的對角元素有效消失所需的時間稱為退相干時間。對於日常發生的巨觀過程,退相干時間非常短暫。特別而言,在物理學者給出的很多不同的退相干模型里,不同的環境態通常遵守指數衰變:
量子退相干
量子退相干其中,t是時間,是退相干時間尺度。
量子退相干每一種退相干模型都有其特徵的退相干時間尺度。例如,在空間退相干模型里,像空氣分子或光子一類的環境粒子,因為與處於不同位置疊加態的物體發生碰撞,而促成量子退相干,其環境態的指數衰變的形式為
量子退相干
量子退相干其中, x、y分別為物體質心的位置,是散射常數。
量子退相干
量子退相干對於處於位置疊加態的物體,退相干時間尺度與質心距離成平方反比:
量子退相干假若x,y的質心距離越近,則環境粒子被位於這兩個位置的物體散射後的量子態越相似,即兩個對應的環境態的重疊部分越大,因此越困難分辨物體的位置,需要越多環境粒子來做分辨,所以退相干時間尺度越悠久;反過來說,假若x,y的質心距離越遠,越容易分辨物體在哪個位置,因此只需要幾個環境粒子就可以完成分辨,所以退相干時間尺度越短暫。當質心距離足夠遙遠,單獨散射就能夠解析物體的位置之時,退相干時間尺度會變得與質心距離無關,是總散射率的倒數:
量子退相干
量子退相干假設在空間裡的物體,因為遭到外在環境裡的熱力學光子散射,而出現量子退相干,則其散射常數通過理論分析以方程表示為
量子退相干其中,a是物體尺寸(單位為cm),T是絕對溫度(單位為K)
量子退相干假設是遭到空氣分子散射,則其散射常數在正常氣壓為
量子退相干由此兩個方程可知,散射常數與物體尺寸、絕對溫度有不同程度的相關。
以下列出在不同環境下,對於不同尺寸的物體,且量子干涉距離等於物體尺寸,退相干時間尺度的估算數值(單位為秒):
| 環境 | 灰塵顆粒(10cm) | 大型分子(10cm) |
| 宇宙背景輻射 | 1 | 10 |
| 室溫光子 | 10 | 10 |
| 最佳實驗室真空 | 10 | 10 |
| 正常氣壓的空氣 | 10 | 10 |
實驗觀察
量子退相干通常發生的很快,因此很難製成處於巨觀或介觀的疊加態物體。為了要實驗驗證量子退相干的效應、見證量子與經典之間的平滑邊界、檢驗與改良描述量子退相干的理論模型、找出任何不同於量子力學么正演化行為之處,必須完成以下幾件極具挑戰性的任務:
•製備出可分辨的幾個巨觀態或介觀態的量子疊加態。
•設計一套證實量子疊加的方法。
•量子退相干時間尺度必須足夠長久,這樣才能正確地觀測量子退相干。
•設計一套監督量子退相干的方法。
腔量子電動力學實驗
1996年,在法國巴黎高等師範學校,物理學者塞爾日·阿羅什實驗團隊在腔量子電動力學實驗中,首先定量觀測到輻射場的介觀疊加態的相位相干性逐漸地因量子退相干而被摧毀。
在這實驗裡,單獨里德伯銣原子被傳輸通過含有輻射場的微波腔,而這裡德伯原子是處於兩個量子態所組成的疊加態,其中一個量子態會使得輻射場發生相移,因此促使輻射場從原先所處的非疊加態變為疊加態。由於光子散射於腔鏡子的瑕疵,輻射場會逐漸失去其相位相干性給環境。傳送第二個里德伯原子通過微波腔,可以測量出輻射場的相位相干性。從分析在不同延遲時間下相位相干性的數據,可以實驗證實量子退相干效應。
因為研究能夠量度和操控個體量子系統的突破性實驗方法,阿羅什榮獲2012年諾貝爾物理學獎。
量子干涉學實驗
2002年,奧地利維也納大學物理學者安東·蔡林格研究團隊發表論文報告觀察C富勒烯干涉行為的結果。C富勒烯的質量為840amu,直徑約為1nm,是由超過1000個微觀粒子所組成的相當複雜的物體,因此很不容易觀察到量子干涉效應,必須特別使用一種套用塔爾博特效應的干涉儀,稱為塔爾博特-勞澳干涉儀。碰撞退相干、熱力學退相干、振動攝動引起的退相位,這幾種效應會促使干涉圖案的可視性會逐漸衰減。量子退相干可以用可視性的衰減來量度,因此可視性的衰減表征量子退相干效應。
量子信息科學
退相干現象對量子信息科學的影響可大致分成兩大內容來說明:量子計算與量子通信。我們知道在量子信息科學中,量子系統的狀態含藏著信息的意義。量子退相干會使我們所在意的系統出現信息部分或完全喪失的結果,因此在量子計算上會造成計算結果出現誤差干擾;而在量子通信上,一個環境充滿擾動的信息傳遞通道(channel),在通道末端的收受者則有收到噪聲及錯誤訊息的可能,需要除錯系統如編碼方法之協助。

