定義
邏輯斯諦分布即增長分布,增長分布的分布函式是“增長函式”,亦稱“邏輯斯諦函式”(logistic function),故增長分布亦稱做“邏輯斯諦分布”。
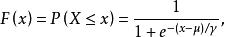
邏輯斯諦分布邏輯斯諦分布(logistic distribution)是一種連續型的機率分布,記為。其累積分布函式為
邏輯斯諦分布
邏輯斯諦分布
邏輯斯諦分布
邏輯斯諦分布
邏輯斯諦分布
邏輯斯諦分布
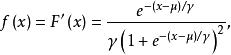
邏輯斯諦分布其中的兩個參數:是散布中心,也是數學期望;表示散布程度,越大,散布程度也越大。分布的標準差是。當時,稱為 標準的 邏輯斯諦分布,記作,它的累積分布函式為
邏輯斯諦分布邏輯斯諦分布最早來自於生長曲線的需要。在火炸藥性能研究工作中,對於表現敏感性的臨界刺激量的機率分布,有時用邏輯斯諦分布來表示,而同常態分配一起,成為在這一領域套用最廣的兩個分布。此外,邏輯斯諦分布還用於經濟、人口統計,以及可靠性工程等領域 。
相關性質
分布函式和密度函式
設X是連續隨機變數,X服從 邏輯斯諦分布是指X具有下列分布函式和密度函式:
邏輯斯諦分布
邏輯斯諦分布
邏輯斯諦分布
邏輯斯諦分布式中,為位置參數,為形狀參數 。
邏輯斯諦分布的特徵
邏輯斯諦分布(1);
邏輯斯諦分布(2) 矩母函式
邏輯斯諦分布特徵函式。
邏輯斯諦分布常用於經濟學與人口統計學 。
圖像特徵
邏輯斯諦分布
邏輯斯諦分布
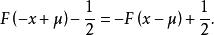
邏輯斯諦分布邏輯斯諦分布的密度函式和分布函式的圖形如圖1所示,分布函式屬於邏輯斯諦函式,其圖形是一條S形曲線(sigmoid curve)。該曲線以點為中心對稱,即滿足
邏輯斯諦分布
邏輯斯諦分布曲線在中心附近增長速度較快,在兩端增長速度較慢.形狀參數的值越小,曲線在中心附近增長得越快 。
圖1 邏輯斯諦分布的密度函式
圖2 邏輯斯諦分布的分布函式
