定義
邊界層高度(depth of the pIanetary boundary layer:depth of PBL),又稱邊界層頂,是指行星邊界層的厚度。
性質
邊界層高度的特點是該高度上的湍流係數為零,其上為自由大氣。該高度也即邊界層頂。通常以大氣最低的逆溫層底的高度來近似標誌。其數值差異很大,依邊界層的湍流性質而定,從穩定邊界層的數米一數百米到對流邊對界層的1—2km不等。
套用
低層大氣中污染物的擴散和輸送很大程度上依賴邊界層結構,在邊界層內,湍流作用可使顆粒物和氣體充分混合,最大混合高度就是邊界層頂的高度,是由太陽輻射、天氣系統和局地地形決定,邊界層頂高度一直是大氣數值模式和大氣環境評價的重要物理參數之一。
計算方法
位溫法
首先通過探空資料確定邊界層類型,具體方法根據以下公式計算 :
邊界層高度,CBL→不穩定層結
邊界層高度,SBL→穩定層結
其他,NRL→中性層結
邊界層高度
邊界層高度其中, 為位溫,其下標表示從地面開始每層的位溫,地表面為1; 為溫度隨高度變化時,當出現逆溫時,最小的位溫增量,一般是在穩定層結頂部和穩定層結下部,在實際計算中,該值根據地面特徵設定為較小正值。
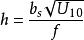
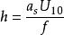
羅氏法
Nozaki et al於1973年提出一種用地面氣象資料估算混合層高度的方法,即羅氏法。該方法認為大氣混合層是由熱力湍流和機械湍流共同作用的結果,而且邊界層上部大氣運動狀況與地面氣象參數間存在相互聯繫和反饋作用,因此可以用地面氣象資料來估算大氣混合層高度。計算公式如下 :
邊界層高度
邊界層高度
邊界層高度
邊界層高度
邊界層高度
邊界層高度
邊界層高度
邊界層高度式中: 為地面氣溫; 為露點溫度; 為 高度處的平均風速; 為地面粗糙度; 為柯氏參數; 為帕斯圭爾穩定度級別。
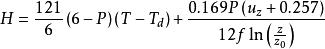
國標法
國標法是根據國家標準GB/T13201-91規定的方法進行計算。該方法認為近地層的熱狀況在相當程度上取決於地面加熱和冷卻程度。該方法綜合考慮了熱力和動力因素,把太陽高度角、雲量和風速分級定量化,然後根據規定的當地具體參數,當大氣穩定度為A、B、C和D時 :
邊界層高度當大氣穩定度為E和F時:
邊界層高度
邊界層高度
邊界層高度
邊界層高度
邊界層高度
邊界層高度
邊界層高度
邊界層高度
邊界層高度式中: 為混合層厚度(E、F時指近地層厚度,單位:m); 為10m高度處平均風速(單位:m·s ),>6m·s 時取6m·s ; 、 為混合層係數; 為地轉參數; 為地轉角速度,取7.29×10 rad·s 。為地理緯度,單位:(°)。

