邊界層厚度的定義
邊界層厚度黏性流體流經固體邊壁時,在壁面附近形成的流速梯度明顯的流動薄層,叫做邊界層。邊界層厚度(Boundary-layer thickness),指從邊界層壁面開始,到沿著壁面切向的流動速度達到自由來流速度的99%的位置的垂直於壁面的高度,如右圖所示,其厚度為邊界層外邊界與壁面之間的垂直距離。
邊界層(boundary layer)是高雷諾數繞流中緊貼物面的粘性力不可忽略的流動薄層,又稱流動邊界層、附面層。這個概念由近代流體力學的奠基人,德國人Ludwig Prandtl於(普朗特)1904年首先提出。從那時起,邊界層研究就成為流體力學中的一個重要課題和領域。
關於邊界層的厚度,工程套用較多的有邊界層的位移厚度和邊界層的動量厚度 ,這兩個概念與邊界層厚度的定義直接相關,但又不同於邊界層的厚度的物理意義,下文將仔細分析。
對於邊界層厚度的理解
流體繞過一個固定的物體流動,由於物體必須滿足壁面無滑移條件,那么壁面上的流體的切向速度必然為0,但是隨著遠離壁面的距離的增大,流體的速度必然有所增加,並逐漸達到自由流的速度。其實,很難定義一個精確的概念來說明邊界層厚度到底有多少。 統一起見,人們定義了99%的位置作為邊界層的厚度的定義,這個厚度被稱為邊界層名義厚度,或簡稱邊界層厚度。
邊界層的動量厚度和邊界層的位移厚度,則是對邊界層從另外兩個角度進行描述,他們主要說明了由於粘性的作用,邊界層動量的損失情況和質量的損失情況。
邊界層位移厚度
邊界層厚度構想邊界層內的流體為無粘性時,以均流速度U流過平板;而實
際流體具有粘性,以相同速度流過平板時,由於壁面無滑移條件,速度從U跌落至0。如此形成的邊界層對流動的影響之一是使構想中的無粘性流體流過該區域的質量流量虧損了(圖中陰影區,平板寬度設為1)。將虧損量折算成無粘性的流量,並假設這些質量以來流速度U流過邊界層,那么,此時虧損的質量的厚度為δ*(圖中陰影區)。
邊界層動量厚度
邊界層厚度與邊界層的位移厚度定義的方法類似,可以定義邊界層的動量厚度,邊界層對流動的影響使構想中的無粘流體流過該區域的動量流量虧損了,按平板單位寬度計算動量流量虧損量,並將其折算成厚度為θ無粘性流體的動量流量。稱θ為動量虧損厚度,簡稱邊界層動量厚度。
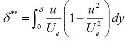
邊界層能量厚度
邊界層能量厚度定義邊界層厚度也可以基於因邊界層存在而導致勢流中流體能量的損失來定義。稱為邊界層能量損失厚度,簡稱能量厚度。其意義是:在邊界層內,為了保證用無粘流計算得到的能量通量與粘性流的實際情況一致,需要將原固壁位置沿法向外推的距離為位移厚度和能量厚度之和。
