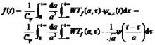
短時傅立葉變換(STFT)其視窗函式 通過函式時間軸的平移與頻率限制得到,由此得到的時頻分析視窗具有固定的大小。對於非平穩信號而言,需要時頻視窗具有可調的性質,即要求在高頻部分具有較好的時間解析度特性,而在低頻部分具有較好的頻率解析度特性。為此特引入視窗函式 ,並定義變換 。其中,a R且a≠0。該式定義了連續小波變換,a為尺度因子,表示與頻率相關的伸縮,b為時間平移因子。
很顯然,並非所有函式都能保證上式中表示的變換對於所有f∈L (R)均有意義;另外,在實際套用尤其是信號處理以及圖像處理的套用中,變換隻是一種簡化問題、處理問題的有效手段,最終目的需要回到原問題的求解,因此,還要保證連續小波變換存在逆變換。同時,作為視窗函式,為了保證時間視窗與頻率視窗具有快速衰減特性,經常要求函式ψ(x)具有如下性質: ≤ , ≤ 其中,C為與x,無關的常數,ε>0。
原理
1.1連續小波基函式
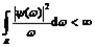
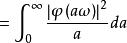
所謂小波(wavelet),即存在於一個較小區域的波。小波函式的數學定義是:設ψ(t)為一平方可積函式,即ψ(t)∈L (R),若其傅立葉變換Ψ(ω)滿足條件:
連續小波變換則稱ψ(t)為一個基本小波或小波母函式,並稱上式是小波函式的可允許條件。
根據小波函式的定義,小波函式一般在時域具有緊支集或近似緊支集,即函式的非零值定義域具有有限的範圍,這即所謂“小”的特點;另一方面,根據可允許性條件可知Ψ(ω)|=0,即直流分量為零,因此小波又具有正負交替的波動性。下圖為一個小波的例子。
連續小波變換
連續小波變換將小波母函式ψ(t)進行伸縮和平移,設其伸縮因子(亦稱尺度因子)為a,平移因子為τ,並記平移伸縮後的函式為ψ,r(t),則:
並稱ψ,r(t)為參數為a和τ的小波基函式。由於a和τ均取連續變化的值,因此又稱之為連續小波基函式,他們是由同一母函式ψ(t)經伸縮和平移後得到的一組函式系列。
連續小波基函式的一個重要性質是視窗面積不隨參數a、τ而變,它是小波母函式的時、頻視窗寬度Δt和Δω的積。這正是海森堡測不準原理指出的:Δt、Δω的大小是互相制約的,乘積ΔtΔω≥1/2,並且僅當函式ψ(t)為高斯函式時等號成立。將不同a、τ值下的時、頻域視窗繪在同一個圖上,就得到小波基函式的相平面,如下圖。小波的這一性質是時頻分析的重要依據。
連續小波變換1.2連續小波變換
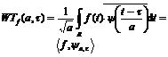
將L (R)空間的任意函式f(t)在小波基下進行展開,稱其為函式f(t)的連續小波變換CWT,變換式為
連續小波變換式中:<·>表示內積運算。當所用小波的允許性條件成立時,其逆變換存在。
連續小波變換
連續小波變換其中C即為ψ(t)的允許性條件。
根據CWT的定義可知,小波變換同傅立葉變換一樣,也是一種積分變換,稱WT(a,τ)為小波變換係數。由於小波基具有尺度和位移兩個參數,因此將在小波基展開意味著將一個時間函式投影到二維的時間-尺度相平面上。而且由於小波基本身所具有的特點,函式投影到小波變換域後,有利於提取某些特徵。
與傅立葉變換不同,連續小波基函式構成了一組非正交的過度完全基。即任意函式的小波展開係數之間存在相關性。若用Kψ表示兩個基函式ψ(a,τ)及ψ(a’,τ’)的相關性的大小,則:
連續小波變換Kψ表征了連續尺度、時移為半平面(a,τ)上的兩個不同點之間的CWT係數的相關性,也稱之為再生核或重建核。
