簡介
光源分為連續光源與銳線光源。後者的輻射為不連續的線光譜。
連續光譜燈的發射是某一較長波段的光輻射。如氫燈與氘燈為180~400nm,白熾燈為330~800nm,氙燈為180~1000nm,此外還有鎢燈400~1100nm、鹵鎢燈400~1000nm、汞燈200~800nm等多種,均屬連續光源,並可用於光譜研究。
可見光的光譜如下表:
| 顏色 | 波長 | 頻率 |
| 紅色 | 約625—740納米 | 約480—405兆赫 |
| 橙色 | 約590—625納米 | 約510—480兆赫 |
| 黃色 | 約565—570納米 | 約530—510兆赫 |
| 綠色 | 約500—565納米 | 約600—530兆赫 |
| 青色 | 約485—500納米 | 約620—600兆赫 |
| 藍色 | 約440—485納米 | 約680—620兆赫 |
| 紫色 | 約380—440納米 | 約790—680兆赫 |
原理
電磁波的波長和強度可以有很大的區別,在人可以感受的波長範圍內(約380納米至740納米),它被稱為可見光,有時也被簡稱為光。假如我們將一個光源各個波長的強度列在一起,我們就可以獲得這個光源的光譜。一個物體的光譜決定這個物體的光學特性,包括它的顏色。不同的光譜可以被人接收為同一個顏色。雖然我們可以將一個顏色定義為所有這些光譜的總和,但是不同的動物所看到的顏色是不同的,不同的人所感受到的顏色也是不同的,因此這個定義是相當主觀的。
一個彌散地反射所有波長的光的表面是白色的,而一個吸收所有波長的光的表面是黑色的。
一個虹所表現的每個顏色只包含一個波長的光。我們稱這樣的顏色為單色的。虹的光譜實際上是連續的,但一般人們將它分為七種顏色:紅、橙、黃、綠、青、藍、紫,但每個人的分法總是稍稍不同的。單色光的強度也會影響人對一個波長的光的顏色的感受,比如暗的橙黃被感受為褐色,而暗的黃綠被感受為橄欖綠,等等。
顯示器無法產生單色的橙色。出於眼睛的生理原理,我們無法區分這兩種光的顏色。也有許多顏色是不可能是單色的,因為沒有這樣的單色的顏色。黑色、灰色和白色比如就是這樣的顏色,粉紅色或絳紫色也是這樣的顏色。
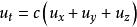
波動方程是用來描寫光的方程,因此通過解波動方程我們應該可以得到顏色的信息。在真空中光的波動方程如下:
連續光譜燈
連續光譜燈c在這裡是光速, x、 y和 z是空間的坐標, t是時間的坐標, u( x, y, z)是描寫光的函式,下標表示取偏導數。在空間固定的一點( x、 y、 z固定), u就成為時間的一個函式了。通過傅立葉變換我們可以獲得每個波長的振幅。由此我們可以得到這個光在每個波長的強度。這樣一來我們就可以從波動方程獲得一個光譜。
測量光譜燈光譜的實驗
實驗步驟
1、用汞燈譜線對光柵光譜儀進行校準:利用汞燈的五根譜線的波長值(標準值為404.7nm、435.8nm、546.1nm、577.0nm、579.0nm)來進行校準儀器。根據能量信號大小手工調節入射狹縫和出射狹縫,掃描汞燈光譜。如果波長有偏差,用“波長線性校正”功能進行校正。
2、測量低壓汞燈的相對輻射光電壓分布
(1)打開汞燈電源,將儀器放置於適當位置。
(2)打開電控系統電源,進入操作界面。
(3)選定“參數設定”選單,合理設定參數。
(4)選擇“工作方式”選單,單擊“單程掃描”。
(5)掃描完成後讀取數據,選定“檢峰”選項,記錄下各峰的波長和相應的相對光電壓值。
(6)關掉汞燈電源並將其移開
3、測量白熾燈的相對輻射光電壓分布
(1)打開白熾燈電源,將其燈絲對準光譜儀的入射狹縫S1處,旋轉調光旋鈕使燈至最亮。
(2)選定“參數設定”選單,進行參數設定。
(3)按前述(4)~(5)步驟,在螢幕上獲得白熾燈的輻射光電壓分布曲線。
(4)移動游標“×”,讀取數據並列表記錄。
(5)改變燈絲溫度,使燈光稍暗,觀察不同燈絲溫度時白熾燈的輻射光電壓分布曲線。
注意事項
1、開機之前,請認真檢查光柵光譜儀的各個部分(單色儀主機、電控箱、接受單元、計算機、)連線是否正確,保證準確無誤。為了保證儀器的性能指標和壽命,在每次使用完畢,將入射狹縫寬度、出射狹縫寬度分別調節到0.1mm左右。在儀器系統復位完畢後,根據測試和實驗的要求分別調節入射狹縫寬度、出射狹縫寬度到合適的寬度。
2、接收單元:多功能光柵光譜儀配有光電倍增管、CCD接收單元。
注意,若採用光電倍增管作為接收單元,不一定要在光電倍增管加有負高壓的情況下,使其暴露在強光下(包括自然光)。在使用結束後,一定要注意調節負高壓旋鈕使負高壓歸零,然後再關閉電控箱。
3、光譜儀的電壓不能超過1000伏。
4、狹縫調節:
連續光譜燈儀器的入射狹縫和出射狹縫均為直狹縫,寬度範圍0~2mm連續可調,順時針旋轉為狹縫寬度加大,反之減小。每旋轉一周狹縫寬度變化0.5mm,最大調節寬度為2mm。為延長使用壽命,狹縫寬度調節時應注意最大不要超過2mm。儀器測量完畢或平常不使用時,狹縫最好調節到0.1mm05mm左右。
相關套用
連續光譜植物燈是模擬太陽光譜而開發出來的利於植物生長的照明光源,光譜中可見光從380NM藍光部分到780NM紅光部分配比合理,並且光波曲線模仿太陽光譜形狀,光色如上午10點左右的日光色,顯色性強,色溫漂移小,光效高,光通大。
連續光譜植物燈的作用:連續光譜植物生長燈,是依照植物生長規律,模擬太陽光譜配比的原理,而開發出的具有連續光譜的人造光源,輻射範圍廣,達到每瓦100LM以上,真正達到綠色照明的要求。針對農業大棚,作為補充光照,在一天的任何時間都可以增強光照,以便始終幫助植物進行光合作用。特別是在冬季的幾個月裡面,可以延長有效的照明時間。無論在黃昏或夜晚,都可以有效的延長和科學地控制植物所需的光照,不受任何環境變化的影響。在溫室或植物實驗室,可完全替代自然光,來促進植物生長。
連續光譜植物燈的特點:
1、連續光譜植物燈是具有連續光譜的人造光源,由此而產生的光束最適合植物生長(葉綠素、花青素、胡蘿蔔素)
2、配合特殊泛光燈具的泛光效果使照射的光效均勻分布,且光效是其它同瓦數鈉燈的兩倍,是白熾燈的7倍。

