測量方法
小心地轉動全站儀或經緯儀的水平微動手輪來跟蹤陀螺儀游標的運動,當游標到達其逆轉點時,記錄下該位置的水平角值,在記錄了兩個或多個連續的逆轉點後便可計算出真北方向值。精確測定真北方向時,需要全站儀或經緯儀的望遠鏡的初始照準方向位於真北方向±2°範圍內,並且連續測量至小3個以上的逆轉點。
逆轉點法
逆轉點法
逆轉點法
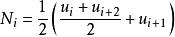
逆轉點法逆轉點法是用轉動經緯儀照準部,跟蹤觀測陀螺軸擺動逆轉點位置來確定陀螺子午線方向的方法。觀測步驟:固定儀器照準部於近似北方向,啟動陀螺電動機,下放靈敏部,通過陀螺儀目鏡觀察陀螺軸游標擺動,用照準部微動螺旋進行逆轉點跟蹤觀測,連續讀取五個逆轉點位置的經緯儀水平度盤讀數u,相鄰三個可計算一個中點位置的讀數N: 。其最終平均值為 。測邊的陀螺方位角 。式中H為經緯儀正倒鏡觀測測邊方向的平均值;△α為懸帶零位改正: ,式中T為跟蹤時陀螺擺動周期,s;T為不跟蹤時陀螺擺動周期,s;△τ為懸帶零位值所對應的角度值。懸帶零位是陀螺不旋轉時,自由懸掛陀螺軸穩定位置相對於陀螺分劃板零刻線的角度 。
陀螺經緯儀定向
用陀螺經緯儀測定導線邊的坐標方位角。陀螺經緯儀是陀螺儀和經緯儀結合為一體的先進定向儀器,用來直接測定邊的天文方位角。陀螺經緯儀定向方法與豎井幾何定向方法比較,前者具有不占用井筒、省時、省力和精度高等優點。在井下導線加測陀螺定向邊,可有效地提高導線的精度。
陀螺經緯儀定向的實質,是求陀螺北方向值。陀螺定向方法可分為兩大類:一類是定向過程中儀器照準部處於跟蹤狀態,如逆轉點法;另一類是定向過程中儀器照準部處於固定狀態,如中天法、時差法、改化振幅法、記時擺幅法、三點測時法等 。
陀螺實質上是一個繞其質量對稱的超高速旋轉的勻質轉子。陀螺經緯儀上一般有一個懸掛式陀螺,在地球自轉和陀螺重力矩的作用下,懸掛式陀螺軸相對於測站點天文子午面產生對稱的往復擺動的簡諧運動。通過對陀螺軸擺動的觀測,可以確定其擺動的平均位置,即子午面的方向。由於製造、安裝、校檢上的缺陷,陀螺軸與經緯儀視準軸並不重合。經緯儀所示的陀螺軸擺動平均位置稱作陀螺子午線方向,從它算起的測邊的方位角稱為陀螺方位角。陀螺方位角和天文方位角的差值,稱儀器常數。
常用方法有 跟蹤逆轉點法和中天法兩種 。
不同定向方法比較
1.三種定向方法無論是理論精度或是實測精度,都完全可以滿足現行冶金礦山測量規範的要求,且高於規範規定精度的2至3倍。
2.從理論精度看,逆轉點法精度較高,但實測精度卻低於中天法精度。這是因為觀測時儀器跟蹤引起震動、觀測者精神緊張導致判斷逆轉點位置不正確造成的。
3.中天法觀測的最大優點就是不跟蹤觀測,因而減少了儀器震動;同時觀測者在判定游標經過中天並啟動秒表之後,可以從容地讀取秒表讀數,便於提高精度,而精確的測時,正是提高中天法精度的關鍵所在。
時差法和中天法比較,其精度相當。
綜上所述,應當認為:在三種定向方法中,中天法是比較好的定向方法,更適合於礦井定向使用 。

