定義
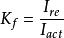
返回係數是繼電器的一個重要技術指標,其值的高低反映繼電器的靈敏性。返回係數的定義為
返回係數
返回係數
返回係數其中, 為繼電器返回值, 為繼電器動作值。增量動作的繼電器返回係數小於1 ,欠量動作的繼電器返回係數大於 1 ,其套用是不同的。對於電磁繼電器,電壓型繼電器屬於欠量動作,電流型繼電器屬於增量動作。
動態特性
動態特性反映了銜鐵吸合和釋放過程中電磁參量和運動參量的真實變化狀況。對吸合過程和釋放過程進行動態特性仿真是計算返回係數的前提。描述拍合式電磁系統動態特性的電壓平衡方程和達朗貝爾運動方程:
返回係數
返回係數
返回係數ψ為線圈磁鏈,t 為時間,U 為直流線圈電壓,R 為線圈電阻,i 為線圈電流;ω為銜鐵轉動角速度,θ 為銜鐵位移,M 為電磁吸力力矩,Mf 為反力力矩,J 為銜鐵轉動慣量。
上述方程組由四階龍格一庫塔方法求解。反力已通過電磁繼電器反力特性測試系統實測得到,而每一步疊代所需的線圈電流i。和吸力力矩肘則通過二元二次插值方法,由靜態有限元仿真得到的吸力力矩和線圈磁鏈平面曲線簇求得。特別需要注意的是,釋放過程計算時套用的鐵磁材料特性是以其原工作點為頂點的磁滯回線的去磁段。通過求解特徵動態微分方程組,可以獲得吸合過程和釋放過程中銜鐵轉動角度隨時間的變化關係。
試驗方法
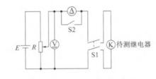
返回係數右圖為用試驗求取返回係數的方法。
將繼電器線圈接入正向電壓,從零逐漸升高線圈電壓,直到銜鐵吸合及動合觸點閉合時,所需的最小電壓值就是吸合電壓值。然後逐漸降低線圈電壓,當銜鐵釋放及動合觸點斷開時的最大電壓值就是釋放電壓值。兩者的比值就是繼電器的返回係數。
影響因素
反力彈簧預壓力的影響。在繼電器銜鐵未動作時,由於反力彈簧的預壓力,使銜鐵保持在打開位置。 在吸合過程中,只有當吸力大於反力彈簧的預壓力時,才能驅動銜鐵動作,預壓力越大則所需工作電壓也越大;在釋放過程中,反力彈簧的壓力則是銜鐵運動的驅動力,預壓力越大則在較大的電壓下就可以釋放,即釋放電壓越大。
極靴尺寸的影響。極靴會對氣隙磁場的分布產生影響。 在同樣的工作電壓和工作氣隙長度下,極靴尺寸的變化會導致磁場的分布情況發生變化,產生不同的氣隙磁通,從而產生不同的電磁吸力。極靴直徑越大,所需工作電壓越小,所需釋放電壓越大,從而導致返回係數增大。 這是因為極靴直徑增大,導致極靴表面積增加,根據麥克斯韋電磁吸力公式,同樣的氣隙磁通下,對銜鐵產生的吸力越大。 當然,各個部件之間的結構尺寸也有限制關係,不能無限增大,在設計過程中,要根據實際情況選取合理的尺寸。
線圈電感的影響。在鐵磁材料工作的線性區,且工作氣隙不變時,電磁吸力與線圈電感成正比。由電磁學相關理論可知,增加線圈匝數和鐵磁材料的磁導率能提高線圈的電感量,從而使電磁吸力的上升速度加快,進而對繼電器的返回係數產生影響。 然而,在同樣的電壓下,電感增加會導致線圈電流上升速度減慢,這又會導致銜鐵的吸合速度減慢,吸合時間變長,這也需要引起足夠重視。

