概念
輳力場
輳力場
輳力場
輳力場
輳力場輳力場是物理學中極為重要的力場。質點和密度分布是點至球心距離的函式的球體所產生的萬有引力場,就是它的最常見的特例。在輳力場中,質點只受到通過力心的場力的作用,因而質點對力心的角動量守恆(見角動量守恆定律),質點被限制在它的初速度矢量和力心所構成的平面內運動,且以力心為原點的矢徑在單位時間內掃過的面積為常數,即面積速度為常數,它等於質點初始時刻對力心的角動量的一半。
如輳力場的場力的大小隻依賴於質點至力心的距離
輳力場中的彈性散射
輳力場
輳力場
輳力場在輳力場的情況下,勢能 只與粒子到散射中心的距離 有關,與 的方向無關。方程寫為
輳力場
輳力場
輳力場
輳力場取沿粒子入射方向並通過散射中心的軸線為極軸,這個軸是我們所討論問題中的旋轉對稱軸,波函式 和散射振幅 都與 角無關。
輳力場方程的一般解可寫為
輳力場
輳力場
輳力場
輳力場
輳力場現在 既與 無關,所以 ,因而 的一般解寫為
輳力場
輳力場
輳力場
輳力場
輳力場
輳力場
輳力場這個展式中每一項稱為一個分波, 是第 個分波,每一個分波都是方程的解。通常稱的分波分別為分波。徑向函式滿足下列方程:
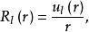
輳力場令
輳力場
輳力場則滿足方程
輳力場
