概念
載重水線是船舶製造中的術語。載重水線表示船滿載時候水面位置的水平線。一般允許船滿載至最大吃水的相當水線。
載重水線和相關術語之間的關係
乾舷
圖1乾舷一般指船的露天甲板邊在水面以上的距離,因此,乾弦隨船的吃水量的變化而變化。商船需依照國家法令勘定其載重線。在船中點處由載重線乾舷甲板邊上上面的垂直距離是許用的最小乾舷,也簡稱“乾舷”。如圖1。
載重線
表示商船在允許的最大載重情況下,水面位置的水平線。載重線需依照國家法令用一定標誌位於船中部兩側,限制其吃水以保證安全。在不同的航區或季節或從事不同的業務時,用不同的載重線。
船長
圖2船的長度。“總長”是指船體首位兩端最大的水平距離。“載重水線長”是指載重水線和船兩端相交處的距離。參考圖2。
吃水
圖3船體在水面以下的深度。參考圖3。
橫艙壁的安裝
在船台上安裝橫艙壁時,增添了橫艙壁上所彈出的縱中心線和 載重水線的修正工作和旁板或縱艙壁上 載重水線的劃線工作。
橫艙壁最後安裝並檢驗後,它的高度和半寬允許有5公厘的誤差,因此,必須把艙壁上早先所彈的縱中心線和載重水線加以修正,因為以後還耍根據這些線來量尺寸,以檢驗船體內部橫艙壁一帶所安裝的各個組合件和結構的位置。同時利用這兩根線檢驗舶體的縱傾和橫傾。
這兩根線的修正是按照下列程式進行的:
1)根據垂放到內底板上所彈的縱中心線上的鉛錘線線,檢驗艙壁的縱中心線。如果艙壁縱中心線和鉛錘線有偏差,就根據鉛錘線在艙壁上標出一些點,通過這些點彈出修正線,並撞孔(原先彈線上的撞孔敲平)。
2)艙壁載重水線的高變是根據塔柱上或高度樣棒上所標的刻線,用軟管水準儀進行檢驗。如果艙壁載重水線和軟管水準儀玻璃管內的液面不重合,就根據液面高度,在艙壁上標出—些點,通過這些點彈出修正線,並撞孔(原先彈線上的撞孔敲平)。
待機鍋艙橫艙壁上的縱中心線修正線和載重水線修正演彈出後,再在機鍋艙的另一橫艙壁和外殼板上彈出載重水線,並撞孔(圖4)。
圖4外殼板和另一艙壁的截重水線彈線方法是把軟管水準儀的一支玻璃管貼靠在橫艙壁的載重水線修正線上,根據另一支玻璃管的液面高度標出一些點,通過所標出的點彈一根線,並撞孔。
為了使所彈的載重水線能和其他的線顯著地區別起見。在它下面10公厘處用色漆劃一根虛線。
彈載重水線時,必須校正已合攏船體的橫傾和縱傾。
錨與錨鏈的配備
為了保證可靠的錨泊,海船的錨與錨鏈的配備應根據船舶的類型、航行區域,並根據船舶舾裝數的大小,按規範中所列數據來選取。
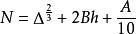
舾裝數( Equipment Number)N是表征船舶受風、流作用影響的程度,據以確定錨、錨鏈、拖纜和繫船纜等配備的一個參數。它與船舶排水量及受風、流影響的面積的大小等因素有關。除拖船的舾裝數另有計算方法外,海船的舾裝數計算公式為:
載重水線式中:
△為 夏季載重水線下的型排水量,t;
B為船寬,m;
h為船中部的夏季乾舷加上上層建築的高度的各層寬度大於B/4的甲板室高度的總和,m;
A為船長L範圍內夏季載重水線以上的船體部分和上層建築以及各層寬度大於B/4的甲板室的側投影面積的總和,m。
計算h和A時,不必計及舷弧和縱傾。
凡是超過1.5m高度的擋風板和舷牆,均應視為上層建築或甲板室的一部分。
載重水線錨及錨鏈所承受的載荷,主要是船在停泊中所受到的風力和流力。對上式作一簡單的分析,可以看出,它能大致地反映出船舶在停泊時所受載荷的大小。其中第一項 ,即排水量的2/3次方,可近似地表示船體水下濕面積的大小,從而反映出船體所受流力的大小;第二項2Bh可表示船體水上部分正面受風面積的大小;第三項A/10則表示船體水上部分側面受風面積的大小。通過對各種船舶情況分析,可以看出,船舶在大多數情況下是頂風錨泊的,即正面受風的機會較多,舾裝數N的第二項與第三項前的常數是根據實際使用經驗而確定的。其中已反映了船舶在錨泊中以正面受風為主的情況。可見用舾裝數來確定錨泊設備的配置是較為合理的。船舶在系泊時,側面受風機會較多,而側向風力的大小在第三項中有所反映,因此這一舾裝數同時可用來確定船舶系舶設備的配置。
結構高度的檢驗方法
結構高度的儉驗是用量具或刻有尺度的樣棒和軟管水準儀來實現的。
在這種情況下,即結構高度的安裝尺寸是從裝置結構(例如:與其面相平行的鋪板上所安裝的底座框架)的水平面量起時,則用量具或樣棒進行檢驗。
在其他情況下,即組合件或個別結構的安裝高度尺寸是從任—平面(例如:從基線面或從載重水線面)量起時,則用軟管水準儀進行檢驗。檢驗時,把檢驗所需的尺寸自放樣台移繪到樣捧上。
圖5例如底座框架和載重水線相對高度的檢驗—例來說明結構高度的檢驗方法。檢驗時,把刻有 自載重水線到底座框架頂面高度尺寸的樣棒貼放到橫艙壁上,並把樣棒上的刻線和艙壁上所彈的載重水線吻合。把軟管水準儀的一支玻璃管貼向樣棒的第二根刻線,另一支玻璃管貼向底座的頂面(圖5)。
如果軟管水準儀玻璃管內的水面和底座頂面的任何一點都重合,就認為該底座高度是安裝正確的。

