簡介
載波相位觀測量是測定 GPS 接收機所接收的衛星載波信號與接收機振盪器產生的參考載波信號之間的相位差。 載波相位觀測量理論上是 GPS 信號在接收時刻的瞬時載波相位值。但實際上是無法直接測量出任何信號的瞬時載波相位值, 測量接收到的是具有都卜勒頻移的載波信號與接收機產生的參考載波信號之間的相位差。 GPS信號被接收機接收後, 首先進行偽隨機碼的延時鎖定, 即實現對衛星信號的跟蹤。一旦跟蹤成功, 接收機的本地偽隨機碼就與衛星的偽隨機碼嚴格對齊,給出偽距觀測量。 之後利用鎖相環實現相位的鎖定,鎖相後接收機本地信號相位與 GPS 載波信號相位相同,此時接收機本地信號相位與初始相位的差即為載波相位觀測量。
載波相位測量技術是目前高精度定位的主要方法。載波相位測量可以達到毫米級的精度,但測量值受到與碼測量同樣的誤差源的影響:衛星鐘差和星曆誤差、傳播媒介、接收機噪聲和多路徑。碼測量和載波相位測量的主要差別在於接收機噪聲和多路徑的影響,載波相位一般在厘米級而碼相位在米級,另外,載波相位測量存在整周模糊度。如果所有的誤差項都被減小,整周模糊度能被解出來,載波相位測量將轉化為精確的偽距測量值並形成精確定位估算。利用載波相位測量的厘米級相位定位現已在測繪、大地測量、地球物理和很多工業套用領域得到了廣泛的套用,載波相位測量中難點在於實時的、快速而準確的整周模糊度。
GPS測量
GPS 測姿定向技術就是利用 GPS 接收機對載體( GPS 天線的負載平台)的姿態進行測量。其原理是通過 GPS天線接收機 GPS 衛星信號,測量不同天線的相對位置在當地水平坐標系中的表示, 並結合天線在載體坐標系中的已知安裝關係, 確定出載體坐標系相對當地水平坐標系的姿態。
載波相位測量GPS 測量技術一般來講包括以下三類: 偽距測量技術、 載波相位測量技術和都卜勒測量技術。由於 GPS 載波頻率高(其兩種載波頻率分別為 、 )、波長短(波長分別為19.05cm、24.45cm),相對於偽距測量而言,載波相位測量具有很高的距離測量精度(毫米級),並且具有很高的相對定位精度,因而 GPS 測姿通常採用載波相位測量技術。
工作原理
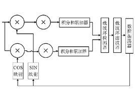
圖1 接收機載波環工作原理圖載波測量是在接收機的載波跟蹤環中實現,其中載波預檢測積分器,載波環檢相器和載波環濾波器的可程式的方案確定 了接收 機載波環的特性。它確定了接收機載波環方案的兩個最主要的性能特性:載波環的熱噪聲誤差和最大視距動態應力門限。載波環電路如圖 1所示。
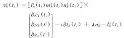
圖2 載波環濾波器原理圖載波環在工作時考慮到接收機最大視距動態應力等 情況,往往由 FLL(鎖 頻環)和PLL(鎖相環)組成,在PLL上輸出相位誤差,在FLL 上輸出頻率誤差。在實際工作中,FLL與PLL設計上有一定的衝突,如為提高接收機的動態應力,預檢測積分時間應儘可能短,採用 FLL,並將載波環濾波器的頻寬設計寬些。為了使載波測量精度提高,預檢測積分時間應長,鑑別器採用 PLL,且載波環路濾波器的頻寬取窄。為解決這個矛盾必須採用折中的方 案。在實際接收機工作時,由 FLL(鎖 頻環)首先完成對接收信號載波的快速頻率捕獲,再由PLL(鎖相環)完成對載波相位的精確跟蹤,同時完成對載波相位的精確測量。
環路濾波器的作用是降低噪聲以便在其輸出端對原始信號誤差進行精確的估計,其設計的階數和噪聲頻寬也決定了環路濾波器對信號的動態回響,如圖2所示。圖2示出了1個1階FLL和3階PLL構成載波環濾波器,採用該方式構成的環路濾波器可以對存在的加速度等動態應力有很好的適應能力,在實際設計中經常被採用,通過調整濾波器內的各係數完成對濾波器指標的調整。
測量原理
載波相位測量
載波相位測量
載波相位測量設衛星上某一時刻的載波相位為 ,經過距離L後到達接收機時相位為 ,那么載波所經歷過的載波相位變化為 ,其中,包括整周數和不足一周的小數部分。
其測距公式為:
載波相位測量
載波相位測量
載波相位測量
載波相位測量
載波相位測量式中:l為衛星到接收機的距離;λ為已知載波的波長; 為載波相位 中的整周期數部分;φ為載波相位 中不足一周的小數部分; 不能直接測量得到,即為載波測量中的整周模糊度,Δφ可以精 確測量。如果從上述公式中能確定,那么測距誤差是很小。將其分別代入衛星時鐘、接收機時鐘和其它誤差進行展開變換,可以得到載波相位測量的線性化方程:
載波相位測量
載波相位測量
載波相位測量
載波相位測量
載波相位測量
載波相位測量式中:為觀測隨機誤差;[為與衛星 j的位置和接收機 k的估算位置有關的常量;分別為接收機 k估算位置的修正量;為接收機鐘差,未知量;為接收機 k接收第 j顆衛星的整周模糊數;為誤差觀測方程中的常數項。通過上面的線性方程可以進行接收機的位置計算 。

