概念
超球函式(hyperspherical function)是超球微分方程的兩個基本解。即函式:
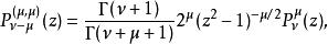
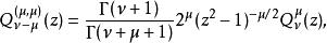
超球函式
超球函式其中P (z)和Q (z)分別是第一類和第二類連帶勒讓德函式。
顯然,μ=0時,P (z)和Q (z)就是P(z)和Q(z)。而當P (z)為正整數n時,P(z)成為多項式,即格根鮑爾多項式C (z)。
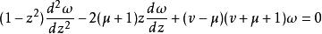
超球微分方程
超球微分方程是數學物理中常見的常微分方程之一。形式為:
超球函式連帶勒讓德方程經因變數變換後,可以得到超球微分方程;勒讓德方程和格根鮑爾方程都是它的特殊情形。
連帶勒讓德方程
連帶勒讓德方程是數學物理中常見的常微分方程之一。其形式為:
超球函式作變換:
超球函式又可寫成:
超球函式此方程有三個奇點(±1,∞),且均為正則奇點,故可化為超幾何方程。
在球坐標系下將拉普拉斯方程或亥姆霍茲方程分離變數時,可出現連帶勒讓德方程。
數學物理
數學物理是是物理學中的一個門 類。主要是套用數學研究物理學的一 些現象和過程。其範圍一般包括質 點、剛體、熱傳導、振動和波、電磁理論等,有時也包括相對論、非平衡狀態的統計理論等。數學物理最基本 的研究方法,是依據實驗確定的若干規律,運用數學演繹推算出各種定量 結果。這種方法不僅從理論上闡明有關的現象和過程,而且還能預言沒有發現的現象和過程。
它的範圍不十分確定,一般可包括質點、剛體、彈性體和流體力學、振動和波、熱傳 導、電磁場理論、電磁波傳播和衍射的理論等。有時 還包括相對論、非平衡統計理論等。其研究方法的特 點是從實驗確定的若干規律出發運用數學演繹 (中間 可能包括若干近似) 推出各種定量結果,而從理論上 闡明有關的現象和過程。有時還能預言當時實驗還沒 有發現的現象。
微分方程
常微分方程與偏微分方程的總稱。含自變數、未知函式和它的微商(或偏導數)的方程被稱為微分方程。微分方程是數學的重要分支之一。它幾乎與微積分同時產生,並隨實際需要而發展。
微分方程的出現,可以追溯到16世紀與17世紀分野時期。在科學家創立對數的時候,第一次遇到本質上屬於微分方程的問題。納皮爾考慮了兩個相關的連續直線運動,他的工作實質上相當於建立了微分方程:
超球函式的近似積分法。與此同時,伽利略所研究的自由落體運動,光的折射定律的發現以及笛卡兒提出並解決的“切線的反問題”等都包含著某種形式的微分方程問題。
從牛頓和萊布尼茨創立微積分到18世紀末是微分方程發展的第一個階段。
牛頓和萊布尼茨在建立微分與積分運算時,指出了它們的互逆性,實際上是解決了最簡單的微分方程y = f′(x)的求解問題。圍繞某些質點動力學和剛體動力學的問題以及某些幾何問題的研究,用微積分的方法很快就可以化為一階或二階常微分方程中的一些最簡單的方程。
在18世紀前半葉,常微分方程不只是研究力學的基本工具,而且也是研究微分幾何學和變分法的基本工具。18世紀中葉,由於數學物理中的問題,首先是關於弦振動的問題,開始了偏微分方程的研究。而在18世紀後半葉這種方程被推廣到二維和三維的情形。在對位勢理論的研究中又出現了調和方程。
在整個18世紀,對於各種具體的微分方程,已取得一定的成就:建立了一些特殊的積分法,把解化為初等函式及其積分表達式的方法,以及用近似積分法來求解等。
到18世紀末期,微分方程理論已發展成為一門極重要的數學學科,並且成為研究自然科學的有效工具。可用初等積分法求解的常微分方程的基本類型已經研究清楚;建立了幾種系統的近似解法;引入了一系列基本概念,如微分方程的奇解、通解、全積分、通積分、特積分等;偏微分方程幾何理論的基礎已經奠定;二階偏微分方程的一些經典類型也已確立等。
在這一時期,微分方程與變分法及微分幾何的關係更加密切,並且套用到複變函數、三角級數、特殊函式與橢圓積分等許多領域。
到了19世紀,微分方程在數學分析的新概念和新方法的影響下進入了新的發展階段。
首先提出來的是解的存在性問題。柯西的工作改變了18世紀人們相信微分方程的通解必定存在的觀念。他提出了常微分方程中第一個定解問題(又稱之為初值問題),後被稱為“柯西問題”,並給出該問題解的存在性與唯一性的證明。後來德國數學家李普希茨和法國數學家皮卡等改進了他的工作。
柯西還把存在性定理推廣到高階方程和一階偏微分方程組在複數域的初值問題,俄國數學家柯瓦列夫斯卡婭在這方面也有重要工作,因此這個存在性定理現在通稱為柯西—柯瓦列夫斯卡婭定理。
這些定理奠定了各種近似解法的基礎,在整個19世紀都研究這些解法。微分方程的奇解理論也在19世紀得到發展。
19世紀上半葉,人們逐漸發現能用初等積分法求解的微分方程十分有限。與代數學中提出的方程根式可解性問題相似,在微分方程中也提出了用初等積分法求解的可能性問題。法國數學家劉維爾證明里卡蒂方程一般不能通過初等積分法來求解的事實改變了人們以往的看法。
與此同時,二階偏微分方程理論得到進一步發展,並且與數學物理、彈性理論、複變函數論、三角級數和變分法密切相關。到19世紀前半葉已經取得了許多重要成果。特別是對熱傳導方程的研究所引出的函式用三角級數表示的問題對實變函式論和積分理論的發展都有重要意義。
在19世紀後半葉和20世紀初期,常微分方程理論中又出現了兩個新的方向。一是常微分方程變換群理論的產生,二是常微分方程定性理論的建立。19世紀70年代,挪威數學家S.李把變換群理論套用於常微分方程理論的研究,並用這種方法把微分方程進行分類,建立解常微分方程的方法。與此同時,由於對天體力學及天文學中某些問題的研究,需要考慮由微分方程所確定的函式在整體範圍內的性質,法國數學家龐加萊和俄國數學家李亞普諾夫建立了常微分方程定性理論。後來他們又研究了運動穩定性的一般問題。
20世紀以來,由於眾多的邊緣學科的產生和發展,微分方程的理論研究更加深入,套用範圍更加廣大。
在中國,1949年以來,微分方程的研究得到重視和發展。在全國各地都培養了一批優秀的微分方程工作者,在常微分方程和偏微分方程的許多研究方向上都做出了大量有水平的工作。
