下圖給出了分子內質子轉移的能量曲線(能量隨質子運動距離(以nm為單位)的變化關係)。該曲線呈現對稱的雙勢阱形式。
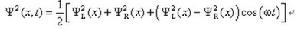
質子離域在兩個原子之間,並以ω=6.48·10S的角頻率在兩個最低能量點(L和R)之間振盪。質子的機率密度隨時間的變化關係如圖
質子機率密度隨時間變化關係式中Ψ1與Ψ2分別是描述定域在左右兩個勢阱中的質子的運動狀態的波函式。


質子穿透勢壘的效應是一種重要的效應,可在許多含氫鍵的複雜體系(例如DNA、蛋白質等等)中觀察到。丙二醛是可以發生分子內質子轉移的最簡單的分子之一。
質子機率密度隨時間變化關係
量子隧穿效應,是一種量子特性。是電子等微觀粒子能夠穿過它們本來無法通過的牆壁的現象。即當微觀粒子的總能量小於勢壘高度時,該粒子仍能穿越這一勢壘。例如,遵...
內容簡介 入門概念 首次穿牆 相關例子 化學反應都是生命的產物,太陽與太陰(或說黑洞)也都是細(系)胞效應的結果,等等...、利用的功能和其它一些生命效應,可是生物也還是不能單獨地出現和存在,因為它...各種生命效應以及生物層,對形成曠物式生命及其活力起著絕對的作用,我們知道...
生命效應,可是生物也還是不能單獨地出現和存在,因為它的出現和 ...
關鍵字 與 前言 本書目錄