基本介紹
船舶吃水一般是指船舶的吃水深度,是指船舶的底部至船體與水面相連處的垂直距離,它間接反應了船舶在行駛過程中所受的浮力(或者說是船體及其貨物等的重量,因為這與船體受到的浮力相等)。因此,船體的吃水深度越大,表明船船舶體載貨的能力越大。類似的概念,在軍事上對艦艇等有“排水量”。
船舶處於正浮狀態且無船體變形時,船舶各處的吃水值均相等,任一處的吃水值均為平均吃水。如果船舶不處於正浮狀態或存在變形時,則從各水尺標誌上讀取的吃水值不相等,這時就需將這些吃水值換算成一個與正浮狀態相等的吃水值即平均吃水(又稱等容吃水),然後才能查取有關參數值。
若忽略船體變形,則船舶的平均吃水可根據船舶的不同浮態分別按以下方法計算:
負載排水量 1.船舶處於正浮狀態時,船舶各處的吃水值完全一致,此時任何位置的吃水值都為實際平均吃水。
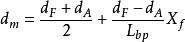
2.當船舶處於縱傾(無橫傾)狀態時,其實際平均吃水可按下式計算:
負載排水量
負載排水量 式中:——船首水尺標誌處的吃水,即首吃水(m);
負載排水量 ——船尾水尺標誌處的吃水,即尾吃水(m);
負載排水量 ——船舶垂線間長(m);
負載排水量 ——船舶漂心距船中距離(m)。
分類
根據船舶運營安全的不同,吃水分為設計吃水和結構吃水。設計吃水是指船體中部由平板龍骨下緣量至設計水線的上緣的垂直距離。結構吃水是指船體中部由平板龍骨下緣量至船舶夏季載重線的垂直距離。結構吃水比設計吃水大。船舶之所以設立設計吃水和結構吃水,是因為船舶設計的時候需要進行兩大塊的計算,分別是穩性計算和結構計算,前者保障船舶運營過程中的穩性安全,後者保障船舶運營過程中的結構安全。
穩性計算的時候需要有一個標準,這個時候的滿載吃水定為設計吃水,在該吃水狀態下考核航速,作為核算穩性的一個工況等。但是有時候船舶裝載密度大的貨物,比如鋼板,貨物重心很低,即使多裝載,超過了設計吃水從穩性方面來講也是安全的,於是就有了一個新的說法,重載,但是接下來的問題是,重載時雖然穩性沒問題可是按照設計吃水核算的結構在重載時是不安全的,於是在船舶最開始設計的時候就定義了一個結構吃水(大於設計吃水),按照結構吃水進行結構計算,這樣以後運營過程中即使重載超過設計吃水,只要沒超過結構吃水船舶也是安全的。設立結構吃水還有一個目的,為以後船舶改裝留有餘地,畢竟船用設備可以隨時更換,船體結構是要伴隨整個船舶生命期的。
根據量取方法的不同,吃水可分為實際吃水和型吃水兩種。實際吃水是指水線面至船底龍骨板下緣的垂直距離,它是船舶進出港、過淺灘、系靠碼頭和裝卸貨物時應考慮的吃水。型吃水是指水線面至船底龍骨板上緣的垂直距離,它是船舶設計和進行性能計算時所考慮的吃水。船舶吃水隨著船舶的載重量和舷外水的密度的變化而不同,量得吃水後經過查閱有關船舶曲線圖和計算,可以求得該船當時的排水量和載重量。兩者相差了龍骨板的厚度。
吃水的限制
大型船舶和內河船舶吃水常受航道及港口水深的限制。如蘇伊士運河航道水深限制通航船舶最大吃水16.15m;巴拿馬運河船閘水深限制船舶最大吃水為12.04m;聖勞倫斯水道水深限制船舶吃水9.20m;上海長江口航道水深9m,可利用潮位3m,考慮富裕水深後,限制通過船舶最大吃水為9.5m;大連魷魚灣油港,10萬噸級泊位前沿水深17m,15m吃水的船舶可自由進出。
確定船舶受限制的吃水時,應考慮船底與水底間留有一定間隙,以防擱淺及水底砂石觸及船體。水底為泥沙質者間隙可小些,石質者間隙須大些;該處風浪小間隙可小,風浪大則間隙須大些;船小間隙可小,船大間隙須大些;船舶載況穩定,吃水及縱傾變化小的船間隙可小些,載況經常變化,吃水及縱傾變化大的船間隙也應大些。航道水深與船舶吃水之間關係:
d=H-δH
式中d——設計船吃水(m);
H——目航道水深(m);
δH——富裕水深(m)。
我國《全國內河通航標準》(1985年)對內河船舶航行於流沙質河床航道的富裕水深做出規定。從規定可知,富裕水深與航道設計水深有關,最大富裕水深為0.5m,石質河床另加0.1m~0.2m。
由上所述,確定吃水主要從限制條件、浮力及螺旋槳的適宜直徑幾個方面考慮。

