定義
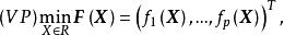
考慮多目標規劃問題:
象集
象集
象集
象集
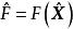
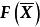
象集其中: 。任意給定一個 ,相應的目標函式值 是一個p維向量,即 。
象集定義1 設 表示R中所有 X應的P維向量F( X)的全體,即F(R)={F( X)| X∈R),如果把F( X)看作是從約束集合R到E的映射,則F( R)稱為 象集或 目標空間,R稱為 原象集或 策略空間。
象集
象集
象集
象集
象集對任一 ,必有 ,反之對任一 ,必存在,使 ,即象集F(R)中的每一個象點,至少有一個R中的原象與之對應。但這種對應不一定是“一對一”的。
有效點與弱有效點
類似於約束集R中的有效解和弱有效解,下面定義象集F(R)中的有效點和弱有效點。
象集
象集
象集
象集
象集
象集定義2 設 ,若不存在 ,使 成立,則 稱為象集 的 有效點,有效點的全體記作 。
象集
象集
象集
象集
象集
象集定義3 設 ,若不存在 ,使得 成立,則稱 為象集 的弱有效點,弱有效點的全體記作 。
研究象集的作用在於:
象集
象集(1)求出了 的有效點和弱有效點,就可以確定 的有效解和弱有效解。
(2)對象集的研究可以提供一些解多目標規劃的方法。
(3)可以從幾何上(p=2)對一些常用的解法加以解釋。
相關定理
有效解和有效點,弱有效解和弱有效點之間有如下的關係:
定理1
象集
象集
象集
象集
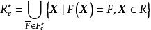
象集若已知象集的有效點集,則的有效解集為:。
象集
象集
象集
象集
象集
象集
象集
象集
象集
象集
象集
象集證明: 設,則存在,使得,要證,用反證法。設,則存在,使,令,知且,這與矛盾,故有。定理證畢。
類似地可以證明下面定理。
定理2
象集
象集
象集
象集
象集若已知象集的弱有效點集,則的弱有效解集為:
象集
象集這兩個定理說明,的有效點和弱有效點的原象分別為的有效解和弱有效解。

