研究背景
大型電力變壓器是供電系統的關鍵設備,它的工作狀態決定著供電系統的可靠性與安全性。變壓器通常依靠其內部的變壓器油來冷卻並起到防腐蝕與絕緣的作用。變壓器的運行、檢修以及油質劣化會使油中水分增加。這些微量水分的存在會加快絕緣材料的老化,降低其絕緣強度,甚至會導致線圈形成電弧並短路引發事故,造成巨大的損失和危害。因此,檢測變壓器油中微量水分,評估變壓器絕緣狀態,安排變壓器檢修計畫,對提高設備的壽命和利用率、降低故障都具有重要意義。
目前,檢測變壓器油中微水含量的方法主要有:
卡爾·費休試劑法,雖然精度高,檢測下限可達百萬分之一,但存在化學試劑(吡啶)氣味臭、污染嚴重和設備較昂貴等缺點。
射頻法,這種方法只適合於油中含水量較多的情況,但對於微量水分的測量準確度較低。
紅外光譜法,特性曲線會隨著測試儀的工作時間而產生較大偏移,無法保證測量的精確,需要不斷校準。
諧振腔微擾法,對諧振腔的結構,連線與選材都有很高的要求,結構過於複雜,實用性不強。
電容法,該方法使用特製的薄膜電容直接測量油中微水含量。由於是直接測量,此方法對薄膜電容的敏感性有很高的要求,在實際測量中往往達不到滿意的效果。
因此研究了水含量與相對濕度的關係後,提出了基於相對濕度油中微水含量間接測量法,並依據此原理設計了變壓器油中微水含量線上監測系統。
原理
變壓器油中微水含量線上監測系統 不同的相對濕度條件下,聚合物薄膜吸附的水分含量也不同。因為聚合物薄膜與水的介電常數差異巨大,所以聚合物薄膜的介電常數也會相應的變化,進而使得電容值發生變化,實現非電量到電量的轉變。
聚合物薄膜電容由三部分組成
(1)上部電容極板保護主要材料不受外界影響並讓水分通過。
(2)聚合物薄膜吸收水分改變其介電常數。
(3)下部電容極板支撐感測器結構。如圖所示。
聚合物薄膜電容等效為一個平板電容器,計算電容的表達式為:
變壓器油中微水含量線上監測系統 其中
S——為聚合物薄膜有效面積;
D——為聚合物薄膜厚度;
ε——為極板間聚合物薄膜相對介電常數;
ε——為真空介電常數。
極板間聚合物薄膜相對介電常數ε可以通過聚合物薄膜的介電常數ε水的介電常數ε來計算,公式如下:
變壓器油中微水含量線上監測系統 其中,v為聚合物薄膜吸收的水所占的體積比。
通常Dubinin公式用來描述聚合物薄膜吸收水分與變壓器油的相對濕度RH之間的關係:
變壓器油中微水含量線上監測系統
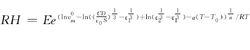
變壓器油中微水含量線上監測系統 其中,T ,T分別為吸水前與後的絕對溫度; 是當溫度為T時,吸收的水所占聚合物薄膜最大體積比;R為氣體普氏常數;E為吸收自由能;α為極限吸附的熱力學係數;n為實驗確定的經驗因子。
由上述三個公式聯立可得:
變壓器油中微水含量線上監測系統 由上式可知,只要測量出聚合物薄膜電容的電容值C,便可通過計算得到此時油的相對濕度RH。
變壓器油中微水含量線上監測系統 根據相對濕度的定義,利用油中水的溶解度與相對濕度RH求解出油中的絕對水含量 。
變壓器油中微水含量線上監測系統 其中,S(T)表示的是在溫度T下油中水分溶解度,單位是PPm。
變壓器油中水分的溶解度公式為:
變壓器油中微水含量線上監測系統 其中,S是以ppm為單位的油中水分溶解度;T是絕對溫度;A/B代表不同油品的水溶解度係數。
整理公式得:
變壓器油中微水含量線上監測系統 所以,通過測量變壓器油的相對濕度RH與溫度T,再通過不同油品的係數A和B進行運算,即可計算出變壓器油中微水的絕對含量。
系統設計
變壓器油中微水含量線上監測系統 變壓器油中微水線上監測系統由感測器、主控系統板、PC上位機組成,如圖2所示。微水含量監測系統是變壓器線上檢測的一部分,利用之前在變壓器現場搭建好的取油迴路就能完成系統的現場安裝,如圖3所示。
由式公式可知,我們需要測量出相對濕度與溫度才能計算出變壓器油中微水含量。感測器能很好地滿足系統的需求,它內置有基於上述原理的HUMICAP濕度感測器測量相對濕度和PTI00鉑電阻溫度感測器測量溫度。MMT162感測器集成了信號處理與變送模組,可以將檢測到的相對濕度RH與溫度T,通過式公式計算感測器可以直接輸出油中微水含量,而且公式中係數A、B可以通過攜帶型基準儀器對其進行現場校準,根據現場所使用的變壓器油。
變壓器油中微水含量線上監測系統 主控系統板可以分為數據採集模組、數據通信模組和主控模組。
數據採集模組由AD7710晶片與感測器信號處理電路構成。針對感測器輸出的電流信號,先使用精密電阻使電流信號轉變為電壓信號,並採用穩壓管防止輸出電壓信號過大,最後將通過AD8538運放隔離後的電壓信號接人A D晶片。
變壓器油中微水含量線上監測系統 數據通信模組由65LBC181晶片及信號調理電路構成。為了適應大多數套用場合,採用RS185串口通信方式。微處理器輸出信號通過施密特觸發器進行整形,並使用光藕晶片隔離信號,然後由65LBC181晶片完成從TTI信號到RS185信號的轉換。為了提升抗干擾能力在晶片後端加上了穩壓管。
微水含量線上監測的套用軟體用VisualC++6.0編寫。軟體主要包括參數設定檔案管理、測量數據檔案管理、實時數據測量、參數曲線顯示等功能模組。主要界面如圖所示。
該系統具有體積小、成本低、在現場複雜的電磁環境下可靠性高的優點。系統運行模式多樣,既可以人工離線收集、定時採樣監控數據,也可通過RS-185匯流排連線上位機軟體,實現遠程分散式的微水線上監測系統。
特點
經過大量的穩定性與準確性實驗,證明系統測量精度高,操作簡單,不需要任何試劑,符合現場實際運行的要求,為變壓器維護人員分析變壓器的運行狀態提供可靠的依據。

