由來
圖1 A.K.Erlang, 1878-1929最早從事話務量研究的是丹麥的學者A.K.愛爾蘭(A.K.Erlang)。他在1909年發表的有關話務量的理論著作,至今仍然被認為是話務理論的經典。
現代文明發展到今天,我們習慣於用統一的標準來衡量物體,比如米是長度單位,千克是質量單位,那么一個通信系統的處理能力如何來衡量呢?下面關於話務量的解釋將為您提供答案。
最初的通信網路僅僅提供呼叫業務(這是通信行業的術語,通俗的說法就是打電話),則我們很容易推測出,系統在單位時間內所能夠接通用戶呼叫的數量自然成為衡量網路處理能力的重要指標。更為深入的研究發現,因為用戶的呼叫是一種個人行為,不同用戶完成一次呼叫的時間也因人而異,而網路的處理能力也跟所有用戶的平均通話時長相關。
因此,原國際電報電話諮詢委員會(CCITT)建議使用“愛爾蘭(Erl)”作為國際通用的話務量衡量單位,這是為了紀念話務理論的創始人A.K.Erlang而命名的。
基本內容
話務量分為流入話務量(流入負載)、完成話務量(完成負載)和損失話務量(損失負載)。它們的關係是
流入話務量=完成話務量+損失話務量
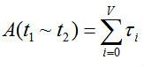
完成話務量指電信設備完成服務的話務量,即在考察的時間t~t內,電信各設備被占用的時間總和:
話務量V表示總占用設備個數,τ表示各個設備占用的時間。對於電話通信,則A(t~t)=S·NN為t~t時間內設備占用次數,S為呼叫的平均占用時長。
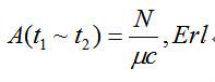
對於非話業務,假設在t~t時間內到達N個報文,報文平均長度為1/μ(bit),鏈路的傳輸速度為C(bits/s),則這段時間內完成話務量為
話務量流入話務量指用戶對通信需求程度的數量。例如在t~t時間內若發生的呼叫全部得到了服務,該完成話務量即為流入話務量。
發生的呼叫未必會全部得到服務,即會出現一些損失。在損失系統中,考察時間內的流入話務量大於完成話務量,二者之差即為損失話務量。
對於等待系統(又稱為排隊系統),則不存在損失話務量,電信系統按一定的規則完成服務,因此等待系統的流入話務量等於完成話務量。
話務量強度指單位時間的話務量。一天內最忙的一小時的話務量,是設計工作中一個重要數據,這個話務量稱為忙時話務量強度。
概念延伸
在行動電話系統中,話務量可分為流入話務量和完成話務量。流入話務量取決於單位時間內發生的平均呼叫次數與每次呼叫平均占用無線波道的時間,在系統流入的話務量中,完成接續的那部分話務量稱作完成話務量,未完成接續的那部分話務量稱做損失話務量,損失話務量與流入話務量之比稱為呼損率。
話務量系統話務量指它包含的所有用戶線路的話務量總和,它的高低決定了一套恆定處理能力的網路設備可以攜帶多少數量的網路用戶。假設兩個網路中用戶的平均呼叫話務量分別為0.05 Erl和0.1 Erl,若使用相同的網路系統,後者可攜帶的用戶數量肯定少於前者。
隨著網路架構不斷演進,業務種類更加豐富,系統話務量還需要綜合考慮忙時視頻呼叫次數、忙時位置更新次數、忙時短訊息次數、彩鈴用戶比例等內容,所有的其他業務均對應到基本語音通話的開銷來進行計算,最終還是體現在話務量上,它做為系統處理能力的重要指標,綜合反映出網路設備軟硬體的整體性能。
計算方法
話務量公式為:A=Cxt。A是話務量,單位為erl(愛爾蘭),C是呼叫次數,單位是個,t是每次呼叫平均占用時長,單位是小時。一般話務量又稱小時呼,統計的時間範圍是1個小時。
單位愛爾蘭(Erl)是CCITT建議使用的通用的話務量單位。以紀念話務理論的創始人A.K愛爾蘭(Erl有時譯作“厄朗”或“厄蘭”)。
1愛爾蘭(Erl)就是一條電路可能處理的最大話務量。如果觀測1個小時,這條電路被連續不斷地占用了1小時,話務量就是1愛爾蘭,也可以稱作“1小時呼”。然而話路全部被占用只是一種理想狀態,根據業界經驗,當每信道話務量大於0.7 Erl時,接通率就可能會下降。
通俗的講,話務量就是一條電話線一個小時內被占用的時長。如果一條電話線被占用一個小時,話務量就是1愛爾蘭。(愛爾蘭不是量綱,只是為紀念愛爾蘭這個人而設立的單位),如果一條電話線被占用(統計)時長為0.5小時,話務量是0.5愛爾蘭。
如果電話線占用的時間以小時為單位的話,話務量單位就為“愛爾蘭”,用“Erl”表示。
如果電話線占用的時間以百秒為單位的話,話務量單位就為“百秒呼”,用“CCS”表示。
不難得出CCS和Erl的關係:36CCS=1Erl。
話務量分為電路話務里和交換機話務量,交換機話務量是指該交換機上所有用戶線路話務量和。
一般來說,一條電話線不可能被一個人占用一個小時,比如統計表明,用戶線的話務量為0.05愛爾蘭,過去我國電話還不是很普及時,因為很多人都在使用,它的話務量很大,達到0.13愛爾蘭,那么此時如果這個交換機有1000條線路,我們就說該交換機的話務量為130愛爾蘭。
詞典釋義
1.traffic
網路釋義
1. traffic
tracking system 跟蹤系統...traffic 話務量...traffic capacity 通話能力
2. telephone traffic
話路輸入電平差異 voice circuit i ut level difference...話務量 telephone traffic...話音活動檢測 voice activity detection (VAD)
3. telephonetraffic
話路輸入電平差異voicecircuitinputleveldifference...話務量telephonetraffic...話音活動檢測voiceactivitydetectionVAD
4. SDCCH
TCH話務量(全速率)...SDCCH話務量...TCH可用率(%)

