緒論
在數學中, 西格爾模形式是辛群上的自守形式。西格爾模形式是西格爾上半平面上的一類多變元全純函式,模形式是其特例。在模空間的意義下,若模形式對應到橢圓曲線,則西格爾模形式便對應更廣的阿貝爾簇。
定義
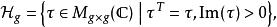
固定正整數g,N。首先定義西格爾上半平面為
西格爾模形式換言之,此即虛部正定之對稱矩陣構成的空間。
再定義一個離散子群
西格爾模形式
西格爾模形式
西格爾模形式其中表 階單位矩陣。
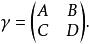
再設
西格爾模形式
西格爾模形式為一有理復表示,這相當於說是代數簇之間的有理映射,並保持群運算。
西格爾模形式現在可以定義西格爾模形式:對任一函式,我們採用下述符號
西格爾模形式
西格爾模形式
西格爾模形式
西格爾模形式所謂權為、次數為g、階為N 的西格爾模形式,是滿足下述條件的全純函式:
西格爾模形式當g=1時,須要求f在無窮遠處全純。對於g>1,可證明此條件自動成立(Koecher 定理)。
套用
卡爾·西格爾在1930年代引入這個概念,本意在以解析數論處理二次型的問題。西格爾模形式後來也用於代數幾何、橢圓上同調及某些物理學問題,例如共形場論。
