簡介
複合透鏡(compound lens)是指兩個以上的單體透鏡構成的透鏡。用一片凸透鏡的單體透鏡也可以聚光,但為使像差儘量小,得到平衡好的清晰像,必須將各種形式及各種光學玻璃的凸透鏡和凹透鏡組合起來。將這些凹凸單體透鏡單獨或膠合組成適於各種目的的複合透鏡。一般的鏡頭幾乎100%都是複合透鏡。
單體透鏡到光學像差的影響。 在許多情況下,通過使用具有互補像差的簡單透鏡的組合可以在很大程度上補償這些像差。複合透鏡是不同形狀的單體透鏡的組合,並且由具有不同折射率的材料製成,以相同的軸線彼此排列。
舉例及公式
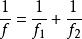
最簡單的情況是兩個透鏡相接觸:如果焦距f和f的透鏡,則透鏡的組合焦距f由下式表示:
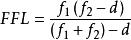
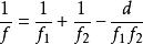
複合透鏡如果兩個薄透鏡在空氣中分開一段距離d,則組合系統的焦距由下式給出
複合透鏡從組合透鏡的前焦點到第一透鏡的距離稱為前焦距(FFL):
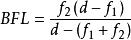
複合透鏡類似地,從組合系統的第二透鏡到後焦點的距離是後焦距(BFL):
複合透鏡由於d趨向於為零,所以焦距將趨向於f值。
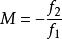
複合透鏡如果分離距離等於焦距的總和( ),則FFL和BFL是無窮大的。 這對應於將平行(準直)光束變換成另一準直光束的一對透鏡。 這種類型的系統被稱為無焦點系統,因為它不產生光束的淨收斂或發散。 這種分離形式的兩個鏡頭形成了最簡單的光學望遠鏡。 雖然系統不會改變準直光束的發散,但它確實會改變光束的寬度。 這種望遠鏡的放大倍數由下式給出
複合透鏡
複合透鏡
複合透鏡這是輸出光束寬度與輸入光束寬度的比值。 注意符號約定:具有兩個凸透鏡( )的望遠鏡產生負放大倍率,表示反轉圖像。 凸加凹透鏡( )產生正放大倍數,圖像直立。
雙鏡頭
定義
在光學系統中,雙體透鏡是由兩個配對的單體透鏡組成的一種鏡片。 這種布置允許更多的光學表面,厚度和配方,特別是當透鏡之間的空間可以被認為是“元件”時。 隨著額外的自由度,光學設計人員有更多的自由度更徹底地糾正更多的光學像差。
雙體透鏡特徵
雙體透鏡可以有許多形式,儘管大多數商業雙體透鏡是為了消色差,同時減少球面像差和其他光學像差。透鏡由具有不同折射率和不同分散量的玻璃製成。通常,一個元件由冕牌玻璃(光學玻璃的一種)製成,另一個元件由火石玻璃製成。這種組合比單體透鏡產生更好的圖像。一些現在已經滅絕的三葉蟲在他們眼中有自然的雙體透鏡。復消色差也可以製成雙體透鏡。
雙體透鏡可以是空氣的間隔,膠合或“上油”。油膜雙體透鏡將光學流體單獨保持在表面張力的位置。在膠合雙層中,透鏡通過具有機械強度的粘合劑保持在一起,例如光學透明的環氧樹脂。由於光學設計需要間隙或因為兩個透鏡之間的熱膨脹差異將不允許粘結,所以有些雙體透鏡之間不使用粘合劑,依靠外部固定來將它們保持在一起。這些稱為“未膠結”,“空氣間隔”或“斷開接觸”雙重體。空氣間隔雙體透鏡的亞型是透析器,其設計元件間隔廣泛,以節省使用的玻璃量或元件不能粘合,因為它們具有不同的曲率。
三重透鏡
三重透鏡是由三個單體透鏡組成的複合透鏡。三重透鏡允許鏡頭設計師克服塞德爾像差。
該術語用於兩種方式。 三個透鏡可以膠合在一起,如Steinheil三聯體或黑斯廷斯三重體。 或者三重透鏡可以被設計成具有三個間隔開的玻璃。 前者具有由於較少的氣-玻璃界面而具有較高的光通量的優點,但是後者在像差控制方面提供了更大的靈活性,因為內表面並不局限於具有相同的曲率半徑。
珠寶商的放大鏡通常使用三重透鏡。
三重透鏡
