它有靜態和動態兩種模型.靜態模型是
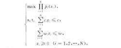
複合系統工作可靠性問題其中i=1,2,""",N為部件,二為i部件的備用元件數,。為i部件中每個元件的費用,、為i部件的重量,p(二)蕊1為處於正常工作狀態的機率,是二的嚴格單調上升函式.動態模型是
複合系統工作可靠性問題狀態變數二k表示由第k個到第N個部件所容許使用的總費用,狀態變數.vk表示由第k個到第N個部件所容許具有的總重量.決策變數uk為部件k上 裝的備用元件數二k(即uk=zk).
複合系統工作可靠性問題(reliability problemof compound system)一個多階段決策問題.它研究整個系統的成本、重量、體積等在某些條件的限制下,應如何選擇各部件的備用元件數,使整個系統的工作可靠性最大。
它有靜態和動態兩種模型.靜態模型是
複合系統工作可靠性問題其中i=1,2,""",N為部件,二為i部件的備用元件數,。為i部件中每個元件的費用,、為i部件的重量,p(二)蕊1為處於正常工作狀態的機率,是二的嚴格單調上升函式.動態模型是
複合系統工作可靠性問題狀態變數二k表示由第k個到第N個部件所容許使用的總費用,狀態變數.vk表示由第k個到第N個部件所容許具有的總重量.決策變數uk為部件k上 裝的備用元件數二k(即uk=zk).
複合加工工具機突出體現了工件在一次裝卡中完成大部分或全部加工工序,從而達到減少工具機和夾具,提高工件加工精度,縮短加工周期和節約作業面積的目的。
發展歷史 工具機分類 發展趨勢 典型形式 化學機械複合加工複合加工工具機突出體現了工件在一次裝卡中完成大部分或全部加工工序,從而達到減少工具機和夾具,提高工件加工精度,縮短加工周期和節約作業面積的目的。
發展歷史 工具機分類 發展趨勢 典型形式 化學機械複合加工分散式能源系統是相對傳統的集中式供能的能源系統而言的,傳統的集中式供能系統採用大容量設備、集中生產,然後通過專門的輸送設施(大電網、大熱網等)將各種能量...
特徵 優缺點 適用 種類 存在問題熱電轉換系統是一種利用熱電直接轉換技術直接將熱能轉化為電能的能量轉換系統。熱電轉化技術是一種直接將熱能轉化為電能的有效方法,具有系統設備使用壽命長、無噪...
基本介紹 技術原理 研究進展 實際套用 問題及解決作為一種先進的電子飛行控制系統,工業上普遍將電傳操縱系統定義為一種利用反饋控制原理,將飛行器的運動作為受控參數的電子飛行控制系統。電傳操縱系統的可靠性比...
概念 提出 組成工作原理 主要優點 主要缺點比例系統是一種最簡單的控制系統,P(比例)控制器的輸入信號成比例地反應輸出信號。它的作用是調整系統的開環增益,提高系統的穩態精度,降低系統的惰性,加快響...
基本概念 比例系統的出現 比例系統結構 比例閥 將比例控制與其他控制結合液晶拼接顯示牆提供的液晶屏是選用韓國三星生產公司的46寸DID LCD面板,具有高亮度、高對比度、高像素等特點。
簡介 液晶拼接牆特點 液晶拼接牆系統設計原則與目標 系統環境設計和要求《分散式發電系統中的光伏發電技術》是2014年機械工業出版社出版的圖書,作者是王立喬。
圖書信息 內容簡介 目錄 樣章首先,設定組織內部公共關係工作機構,有利於組織整體效能的實現。 組織內部公共關係工作機構的有利方面是: 組織內部公共關係工作機構的不利方面有:
什麼是組織內部公共關係工作機構 組織內部公共關係工作機構的重要性