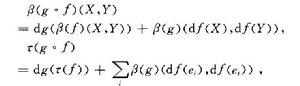
設f:M->N和g : N->W為黎曼流形M,N和W之間的兩個光滑映射.直接計算複合映射} 0 .f : M-}-W的第二基本形式和張力場可得複合公式:d X,YEI'(TM),
複合公式式中{e;}為M的么正標架場.由複合公式看出:全測地映射的複合映射一定是全測地映射;若f是調和映射,g是全測地映射,則g0f是調和映射.但調和映射的複合映射不一定再是調和映射.複合公式反映了映射f}}和}0f之間的聯繫,頗為重要.
複合公式(composition formula)計算兩映射的複合映射的公式。
設f:M->N和g : N->W為黎曼流形M,N和W之間的兩個光滑映射.直接計算複合映射} 0 .f : M-}-W的第二基本形式和張力場可得複合公式:d X,YEI'(TM),
複合公式式中{e;}為M的么正標架場.由複合公式看出:全測地映射的複合映射一定是全測地映射;若f是調和映射,g是全測地映射,則g0f是調和映射.但調和映射的複合映射不一定再是調和映射.複合公式反映了映射f}}和}0f之間的聯繫,頗為重要.
("A蘊涵B") 是合式公式。所以,我們可以建造任意的複雜的複合公式,比如...例如,在命題邏輯中你有如下的公式構造規則:任何命題變數p是合式原子公式。給定任何公式A,否定 ¬A("非A") 是合式公式。給定任何兩個公式...
命題公式(propositional formula)亦稱合式公式,是數理邏輯術語,它是按照一定規律形成的符號序列,在命題演算中,公式通常用歸納定義給出...
基本介紹 例題解析 相關概念及定理 命題公式的分類在數理邏輯中,原子公式(Atomic formula)或原子是沒有子公式的公式。把什麼公式當作原子依賴於所使用的邏輯。例如在命題邏輯中,唯一的原子公式是...
概述 謂詞邏輯 合式公式爆炸複合常稱為爆炸焊接。這一方法是L.R.calr在1944年首先提出來的。他在一次炸藥爆炸試驗中偶然發現兩片黃銅圓薄片,由於受到爆炸的衝擊而被結合在一...
簡介 爆炸複合的優點及其工程套用 爆炸焊接的理論研究 爆炸焊接的試驗研究與數值模擬《複合大師》是由陳暢、於中中執導,由賈乃亮、王曉晨、代樂樂、梁超、張超、屈菁菁等領銜主演的都市情感喜劇。該劇改編自電影《分手大師》,講述了 “分手大師”...
劇情簡介 分集劇情 演職員表 角色介紹 音樂原聲數組就是單元的集合或是一組處理的值集合。可以寫一個以數組為參數的公式,即數組公式,就能通過這個單一的公式,執行多個輸入的操作並產生多個結果——每個結果顯...
含義 作用 特點 輸入 輸出根據能量守恆原則,電子和空穴複合時應釋放一定的能量,如果能量以光子的形式放出,這種複合稱為輻射複合(Radiative Recombination)。輻...
過程 直接 與非輻射複合在數理邏輯中, 原子公式或原子是沒有子公式的公式。把什麼公式當作原子依賴於所使用的邏輯。例如在命題邏輯中,唯一的原子公式是命題變數。原子是在邏輯系統中"...
公式搜尋是搜尋技術和網際網路技術的突破,是指通過在搜尋引擎的搜尋欄中輸入公式,便能實現相關公式資源搜尋的功能。
介紹 搜尋問答平台