過程
輻射複合可以是導帶電子與價帶的空穴直接複合,這種複合又稱為直接輻射複合,是輻射複合中的主要形式。此外輻射複合也可以通過複合中心進行。在平衡態,載流子的產生率總與複合率相等。輻射複合(Radiative Recombination)是電漿中電子與離子碰撞的主要複合過程之一,它是光電離的逆過程,對等離子中電離平衡的建立和維持以及電漿的輻射輸運都起著重要作用。電漿中的自由電子和離子碰撞複合時會放出光子,稱為複合輻射。
輻射複合的具體過程為:
一個離子將一個自由電子俘獲到某個殼層, 同時發射一個光子。發光過程中同時存在輻射複合和無輻射複合過程。
輻射複合
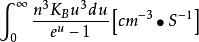
輻射複合在平衡態,載流子的產生率G和複合率R相等。 對於直接複合可由黑體輻射的Planck公式求出G和R。,。
式中u=hv/kT,h為Planck常數,v為頻率,n為複數折射率的實數部分,k為Boltzmann常數,T為溫度。 對直接輻射複合有貢獻的是頻率v≥ E/h的黑體輻射 。
低激發密度下,非平衡少數載流子遠少於多子,非平衡少數載流子遠多於平衡少數載流子;非平衡載流子的複合對少子濃度影響巨大,對多子濃度影響很小,故將非平衡載流子壽命稱為少子壽命;一般情況下,可將多子壽命一般看作無窮大;少子壽命是材料質少子壽命是材料質的要指標量重,對於確定的材料是常數,而與激發密度及時間無關。
高激發密度下載流子壽命不是常數,跟時間有關,隨著時間而增大跟初始非平衡載流子濃度有關,初始濃度越大,壽命越短。
直接
直接輻射複合產生率和複合率的大小,決定於對頻率為v的光子的吸收幾率。 一般直接帶隙半導體有較大的吸收幾率,一些重要的化合物半導體多是直接帶隙半導體,對光的吸收幾率大,所以其複合率也很高,例如InSb室溫下的複合率為2.6×10 cm . s ,而鍺和矽等主要元素半導體是間接帶隙半導體,為了保持動量守恆,在複合過程中必須同時吸收或發射相應的聲子,因此複合率大幅度降低。 例如鍺的R為1.57×10 cm .s ,而對於矽只有2×10 cm .s 。
有非平衡載流子存在時,複合率增加,複合時將發射能量與禁頻寬度相對應的光,發光二極體就是利用複合過程而發光的典型例子 。
與非輻射複合
輻射複合:根據能量守恆原則,電子和空穴複合時應釋放一定的能量,如果能量以光子的形式放出,這種複合稱為輻射複合(Radiative Recombination)。輻射複合可以是導帶電子與價帶的空穴直接複合,這種複合又稱為直接輻射複合,是輻射複合中的主要形式。此外輻射複合也可以通過複合中心進行。在平衡態,載流子的產生率總與複合率相等。輻射複合(Radiative Recombination)是電漿中電子與離子碰撞的主要複合過程之一,它是光電離的逆過程,對等離子中電離平衡的建立和維持以及電漿的輻射輸運都起著重要作用。
非輻射複合(nonradiativerecombination) 按照複合時釋放能量的方式不同,複合可分為輻射複合和非輻射複合。以除光子輻射之外的其他方式釋放能量的複合稱為非輻射複合。非輻射複合中主要有多聲子複合和俄歇複合 。

