衝激回響簡介
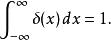
衝擊回響在信號處理中, 衝激回響(英語:Impulse response)一般是指系統在輸入為單位衝激函式時的輸出(回響)。對於連續時間系統來說,衝激回響一般用函式來表示,相對應的輸入信號,也就是單位衝激函式滿足狄拉克δ函式的形式,其函式定義如下:
衝擊回響並且,在從負無窮到正無窮區間內積分為1:
衝擊回響
衝擊回響
衝擊回響在輸入為狄拉克δ函式時,系統的衝激回響包含了系統的所有信息。所以對於任意輸入信號{\displaystyle x(t)},可以用連續域卷積的方法得出所對應的輸出。也就是:
衝擊回響
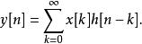
衝擊回響對於離散時間系統來說,衝激回響一般用序列來表示,相對應的離散輸入信號,也就是單位脈衝函式滿足克羅內克δ的形式,在信號與系統科學中可以定義函式如下:
衝擊回響
衝擊回響
衝擊回響
衝擊回響
衝擊回響同樣道理,在輸入為時,離散系統的衝激回響包含了系統的所有信息。所以對於任意輸入信號,可以用離散域卷積(求和)的方法得出所對應的輸出信號。也就是:
衝擊回響實際套用
在實際系統中,不可能產生完美的衝動作為測試的輸入;因此,有時使用簡短的脈衝作為脈衝的近似值。假如脈衝回響與脈衝回響相比足夠短,則結果將接近真實的理論脈衝回響。然而,在許多系統中,以非常短的強脈衝驅動可能會使系統進入非線性狀態,所以系統被偽隨機序列驅動,脈衝回響由輸入和輸出信號計算。
揚聲器
展示這個想法的套用是在20世紀70年代開發的脈衝回響揚聲器測試。揚聲器受到相位不準確的影響,這與其他測量的特性(如頻率回響)不同。相位不準確是由主要由被動交叉(特別是高階濾波器)引起的(略)延遲的頻率/八度引起的,但也是由共振,錐體中的能量存儲,內部音量或外殼面板振動引起的。測量脈衝回響(這是“時間拖尾”的直接圖)提供了一種工具,用於通過使用改進的錐體和外殼材料來減少共振,以及改變揚聲器交叉。為了保持系統的線性,限制輸入幅度的需要導致使用諸如偽隨機最大長度序列的輸入以及使用計算機處理來導出脈衝回響 。
電子處理
脈衝回響分析是雷達,超音波成像和數位訊號處理領域的一個主要方面。一個有趣的例子是寬頻網際網路連線。DSL /寬頻服務使用自適應均衡技術來幫助彌補由用於提供服務的銅線電話線引入的信號失真和干擾。
控制系統
在控制理論中,脈衝回響是系統對狄拉克三角形輸入的回響。這在動態系統的分析中證明是有用的。delta函式的拉普拉斯變換為1,所以脈衝回響相當於系統傳遞函式的拉普拉斯逆變換。
聲學和音頻套用
在聲學和音頻套用中,脈衝回響能夠捕獲諸如音樂廳的位置的聲學特性。各種各樣的包裹可以包含來自特定位置的脈衝回響,從小房間到大型音樂廳。然後,這些脈衝回響可以用於卷積混回響用,以使特定位置的聲學特性能夠套用於目標音頻 。
經濟學
在經濟學中,特別是在當代巨觀經濟模型中,衝動回響函式被用來描述經濟對於外生衝動的反應,經濟學家通常稱之為衝擊,而且往往是在矢量自回歸的背景下建模的。從巨觀經濟角度來看,經常被視為外生的衝動包括政府支出,稅率和其他財政政策參數的變化;變化在基礎貨幣或其他貨幣政策參數;生產力或其他變化工藝參數;和喜好的變化,比如不耐煩的程度。衝動回響函式描述了衝擊時和隨後的時間點等內生巨觀經濟變數如產出,消費,投資和就業的反應 。

