設備介紹
螺旋給料機螺旋給料機把經過的物料通過稱重橋架進行檢測重量,以確定膠帶上的物料重量,裝在尾部的數字式測速感測器,連續測量給料機的運行速度,該速度感測器的脈衝輸出正比於給料機的速度,速度信號和重量信號一起送入給料機控制器,控制器中的微處理器進行處理,產生並顯示累計量/瞬時流量。該流量與設定流量進行比較,由控制儀表輸出信號控制變頻器改變給料機的驅動速度,使給料機上的物料流量發生變化,接近並保持在所設定的給料流量,從而實現定量給料的要求。
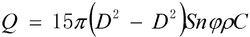
計算公式
螺旋給料機Q——螺旋給料機生產能力,t/h;
D——螺旋給料機葉片直徑,m;
d——螺旋給料機轉動軸直徑,m;
S——螺距,m;
n——螺旋給料機的轉速,r/min;
φ——物料填充係數;
ρ——物料堆積密度,t/m;
C——螺旋給料機傾角係數。
使用與維護
a、給料機如用於配料、定量給料時,為保證給料的均勻穩定,防止物料自流應水平安裝,如進行一般物料連續給料,可下傾10°安裝。對於粘性物料及含水量較大的物料可以下傾15°安裝。
b、安裝後的給料機應留有20mm的遊動間隙,橫向應水平,懸掛裝置採用柔性連線。
c、空試前,應將全部螺栓堅固一次,尤其是振動電磁的地腳螺栓,連續運轉3-5小時,應重新緊固一次。
d、試車時,兩台振動電機必須向旋轉。
e、給料時在運行過程中應經常檢查振幅,電流及噪音的穩定性,發現異常應及時停車處理。
f、電磁軸承每2個月加注一次潤滑油,高溫季節應每月加注一次潤滑油。
結構特點
螺旋給料機驅動端軸承、尾部軸承置於料槽殼體外部減少了灰塵對軸承的影響,提高了螺旋給料機關鍵件的適用壽命。螺旋給料機中間吊掛軸承採用滑動軸承,並設防塵密封裝置,螺旋給料機密封件用尼龍或塑膠,因而密封性能好,耐磨性強,阻力小,壽命長。螺旋給料機滑動軸承的軸瓦有粉末冶金、尼龍和巴氏合金,可根據不同需要選用,螺旋給料機進出料口的靈活布置使其適應性更強,得到用戶認可。
螺旋給料機通常由驅動裝置、頭節、中間節、尾節、頭尾軸承、進出料裝置等幾部分組成,如條件允許,最好將驅動裝置安放在出料端,因驅動裝置及出料口裝在頭節(有止推軸承裝配)時較合理,可使螺旋處於受拉裝態。其中頭節、中間節、尾節每個部分又有幾種不同的長度。螺旋式輸送機各個螺旋節的布置次序最好遵循按螺旋節長度的大小依次排列和把相同規格的螺旋節排在一起的原則,安裝時從頭部開始,順序進行。螺旋給料機在總體布置時還應注意,不要使底座和出料口布置在機殼接頭的法蘭處,進料口也不應布置在吊軸承上方。
1 、螺旋軸與吊軸承、頭、尾軸聯接均採用嵌入舌式,安裝、拆卸不需軸向移動,維修方便。芯軸 長、吊掛少、故障點少。
2 、採用變徑結構,增大吊軸承處容積,避免吊軸承與物料接觸,吊軸承壽命可達兩年以上。
3 、各傳動部位均採用浮動連線方式,吊軸承為萬向節結構,使螺旋體,吊軸承和尾部總成形成一個整體旋浮體,在一定範圍內可隨輸送阻力自由旋轉避讓,不卡料,不堵料。
4 、頭尾軸承座均在殼體外,所有軸承採用多層密封和配合密封技術,軸承使用壽命長。
5、螺旋給料機與其它輸送設備相比,具有整機截面尺寸小、密封性能好、運行平穩可靠、可中間多點裝料和卸料及操作安全、維修簡便等優點。
主要部件
(1)螺旋:螺旋是該機的主要部件,它由軸和焊接在軸上的螺旋葉片所組成。螺旋葉片和螺紋相同,可分為左旋和右旋兩種。
螺旋葉片的型式較多,一般是根據需要選取。常見的螺旋葉片有下列四種。
1)實體螺旋,這種形式套用較廣。它結構簡單,給料效率高,對散狀料最為適宜。
2)帶狀螺旋,這種螺旋葉片與軸的接觸部位是空的,用拉筋支承,螺旋面較窄,能避免物料被粉碎或螺旋葉片與機體被大塊物料卡住,在輸送大塊和粘性物料時被採用。
3)齒狀螺旋,這種螺旋在葉片邊緣開有若干缺口,由於螺旋帶有齒狀凹槽,所以能同時起鬆散、攪動和輸送物料的作用,因此多用於輸送易被擠緊的物料。
4)彎折齒螺旋,該螺旋凸出的葉片,在轉動過程中能使物料不斷提升和翻轉,它在輸送過程中對物料能同時進行混合、冷卻和乾燥。
(2)加料與卸料裝置:螺旋給料機的加卸料裝置有多種形式,以適應不同加卸料位置的要求。常見的加料方式有:物料直接落在螺旋葉片上進行加料,或以星形加料器加料,這種加料能夠調節進入螺旋給料機的物料量。一般卸料是從機槽底部開卸料口,有時可沿機長方向開設數個卸料口,以適應多點給料需要。
工作原理
稱重螺旋給料機來自計量螺旋上的物料重量信號傳送到3U403(一機一路DCS接口)或3U600(一機十六路)測量和控制系統中(3U403和3U600內部均以微處理器為核心)。通過連續不斷的比較設定值與螺旋實際輸送的物料重量,不停的調節穩流螺旋運行的速度。因此使物料流量總能穩定在設定值上。
主要特點
1、專用於粉狀物料的計量和控制。
2、給料螺旋具有獨特的穩流結構,在整個進料口截面上料粉均勻下沉,不易結拱,不易沖料。
3、擺線針輪減速電機,保證了長期穩定運行。
4、穩流螺旋採用變螺距結構和出口溢流方式,有效的解決了物料的沖料難題(產量>60T/H採用雙管穩流)。
5、計量螺旋秤採用3隻高精度感測器(拉力)直接稱重結構,成功的解決了槓桿稱重造成的誤差,使計量精度大為提高。
6、採用數字採集模組,有效解析度高達100萬;採集速率50次/秒;年漂移小於50PPM;溫度漂移小於50PPM。
7、密封結構,減少粉塵外揚。
技術指標
1、 計量精度:≤±1%
2、 控制精度:≤±2%
3、 調速範圍:10:1
4、 工作方式:連續
分類
螺旋給料機根據使用環境的要求可分為單管螺旋給料機與U型LS螺旋給料機兩大系列,單管螺旋給料機採用密閉輸送物料,密封性較好,能避免粉塵對環境的污染,改善勞動條件,具有給料穩定,可實現鎖氣的特性,也可消除物料的回流現象,單管螺旋給料機也可根據使用要求設計成水平輸送,傾斜輸送,垂直輸送,可降低設備的製造成本。

