簡介
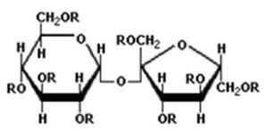
蔗糖聚酯結構式蔗糖聚酯是一種新型的功能性油脂,作為脂肪替代品的研究與開發具有廣闊的前景。目前在世界上仍處於起步階段。本項研究的目的就是利用蔗糖與脂肪酸甲基酯為原料,合成出適合食品加工的、具有優良性能的功能性油脂。
蔗糖聚酯是一種脂肪替代品。從薯片到冷凍甜品,很多點心中都能找到它。在這些產品的成分表中,你可按照品牌名稱Olean找到它。
蔗糖聚酯系蔗糖與脂肪酸的辛、庚、己酯的混合物。可用於含油脂的預包裝小吃食品,在這類食品中,本添加劑可用於煎炸或焙烤用的油脂中,或用於麵團調節劑、噴淋料、餡料或香味料中。
蔗糖聚酯一種人造脂肪,熱量為零,被廣泛用於炸薯條和甜品中。研究發現,長時間食用蔗糖聚酯可能幹擾人體對重要營養素——番茄紅素和類胡蘿蔔素的吸收,而這些營養成分可讓你遠離心臟病、前列腺癌等疾病。此外,它還會導致肥胖和腹瀉。
1996年1月,美國食品和藥物管理局批准蔗糖聚酯成為一種食物添加劑。停止一切不健康的烹調用油。扔掉酥油包,丟掉黃油條。FritoLay也成為最早使用蔗糖聚酯的公司之一,1998年推出它的WOW!薯條。但是,蔗糖聚酯被證明是一種貪婪的化學物質。它不僅會除去食物中多餘的脂肪,而且它還干擾身體吸收基礎維生素的能力。副作用包括痙攣、脹氣和下痢,把法國無脂肪薯條轉變為一種商業狂熱。時至今日,美國食品和藥物管理局仍把蔗糖聚酯作為一種食品添加劑,把它的健康隱含交予了消費者。
主要成分
蔗糖聚酯(6、7、8酯)
食用量
≤3.1克/天
質量要求
性狀
凝膠狀
蔗糖聚酯(6、7、8酯)
≥97%
作用原理
圖為一包普通全脂薯片和一包蔗糖聚酯薯片的營養標籤蔗糖聚酯是化學家創造的,通過合成兩種自然存在的物質:蔗糖和植物油,從而形成一種自然界中不存在的分子。但形成的人造分子吃起來就像真正的脂肪!脂肪使得糖塊和炸薯條吃了很頂飽(並讓人長胖)。有了蔗糖聚酯,你就能吃到脂肪的味道,但不會攝取脂肪的熱量,因為機體無法消化蔗糖聚酯。
那么,是什麼讓蔗糖聚酯分子不能被消化呢?如果你閱讀了脂肪揭秘,你就會知道,常見的脂肪分子主要是碳氫連結在一起形成的三條長鏈分子。蔗糖聚酯有六到八條鏈,而不是三條。多出的鏈讓蔗糖聚酯的分子結構與常見的脂肪分子大不相同。機體不能消化蔗糖聚酯的原因與機體無法消化木頭相似(有關詳細信息,請參見食物常識知多少)。纖維素分子太長時,胃無法處理,這是因為胃中缺少適合處理它的酶。蔗糖聚酯也是這樣。蔗糖聚酯只是原封不動地通過你的腸胃。蔗糖聚酯薯片內的卡路里來自所含的土豆、玉米或其他食物,而沒有蔗糖聚酯的卡路里(不像一般薯片那樣,每克脂肪含9卡路里)。
很多科學家和醫生都擔心,人們食用蔗糖聚酯是否安全。他們最初想要美國食品與藥物管理局(FDA)拒絕寶潔公司將一系列包含蔗糖聚酯的食品推向市場的申請。一個很大的擔心是食用蔗糖聚酯可能導致營養不足。脂肪通常與腸道內的脂溶性維生素A、D、E和K結合在一起,機體吸收脂肪時,也隨之吸收了這些基本的維生素。這些維生素也會與假脂肪蔗糖聚酯結合在一起。但這些維生素並未被機體吸收,而是與蔗糖聚酯一起原封不動地排泄出來。如果過多地食用含有蔗糖聚酯的食物,就有可能無法從飲食中獲取足量的此類重要維生素。
缺乏維生素會帶來嚴重的後果。例如,維生素D與鈣質代謝和骨骼形成有關。對年紀較大的女性來說,骨骼已相當脆弱,食用過多的蔗糖聚酯會增加骨折的風險!因為諸如此類的潛在問題,任何包含蔗糖聚酯的食品都必須添加維生素A、D、E和K。
蔗糖聚酯還會導致機體喪失一類重要的營養成分,即類胡蘿蔔素。大約有500種不同的類胡蘿蔔素。這些紅色、黃色和橙色的色素讓新鮮的水果和蔬菜具有了自己的顏色,它們還存在於綠色葉菜中。大量證據表明,這些營養成分可保護你遠離心臟病、前列腺癌和黃斑退化(黃斑是眼睛的一部分,可讓你看清報紙字型等細小物體)。臨床研究發現,食用蔗糖聚酯後,血液中的類胡蘿蔔素水平會下降。但因為研究人員尚未確定類胡蘿蔔素如何(甚至是否)可以預防這些疾病,所以很難說蔗糖聚酯對類胡蘿蔔素水平的影響是否有害健康。
蔗糖聚酯還有一個缺點,這一點與膳食纖維或纖維素等眾多不能消化的物質相同。這些物質只是直接通過機體的系統,因此一次食用太多會引起一些問題。對於蔗糖聚酯可能帶來的問題,寶潔公司是這樣說的:
大部分人都能好好地享用Olean食用油製作的點心,不會有任何問題。事實上,發表在《美國醫學會雜誌》(JournaloftheAmericanMedicalAssociation)(1998年1月14日)上的最新研究發現,吃一頓Olean薯片的人與吃一頓全脂薯片的人相比,前者所報告的消化系統症狀並不比後者多。在Olean點心還未上市之前進行的一項全國性調查發現,調查之前的這個月內,41%的人報告有一項或多項消化系統症狀。這顯示,消化系統症狀很常見,並且有很多原因。當然,任何食物吃太多都可能引起胃部不適。Olean可替代脂肪,但無法取代常識。
合成與性質研究
蔗糖聚酯1、採用蔗糖與油酸甲酯作為反應原料,在實驗室合成了蔗糖聚油酸酯(蔗糖酯化度大於6),工藝合理可行,所選用的催化劑和助熔劑大大提高了產品的酯化度和反應產率,簡化了後處理過程。
2、蔗糖與油酸甲酯的酯交換反應過程中,其最佳反應條件為:蔗糖與油酸甲酯的摩爾配比為1:10,助熔劑為油酸鉀,用量占蔗糖質量的30%,催化劑為碳酸鉀,用量占反應物總質量的5%,反應時間為3~4小時,反應溫度約為130~135℃,體系壓力維持在5mmHg以下,採用兩步反應程式。所得產品最高產率為76%(註:產品產率按照蔗糖計算),酯化度可達7.8。
3、以普通的三甘酯作為反應原料,經過甲醇解,合成出來的混合脂肪酸甲基酯再與蔗糖發生酯交換反應,同樣可以得到蔗糖聚脂肪酸酯,其反應條件與油酸甲酯類似,證實通過調整反應原料中各脂肪酸成分的含量,可以合成出不同外觀性狀與性能的SPEs產品。SPEs分子中側鏈飽和脂肪酸成分含量越高,SPEs性狀越接近動物油脂,相反則類似於植物油脂。
4、產品組分分析證實經過純化處理後的產品中雜質成分已基本去除,其中皂化物去除率達到99.95%。甲醇含量也符合食品衛生標準。氣/液相色譜分析產品組分單一,對產品進行結構剖析證實其分子結構為蔗糖聚酯。
5、在反應過程中引入相轉移催化劑,有效提高了反應產率,發現採用適當的相轉移催化劑,可以使反應溫度降低到120℃,而且產品質量也有很大改善,可以省去脫色過程,節約生產成本。
6、提出蔗糖聚酯合成過程中的三步反應機理,即蔗糖負離子形成—相轉移—親核進攻,較好地解釋了各種反應現象,並提出了相轉移催化劑的篩選原則,要求相轉移催化劑在反應條件下能穩定存在,其陽離子部分應該具有較強的親脂性。
7、對蔗糖聚酯的物化性質及生化毒理性質進行初步分析,表明SPEs產品具有與普通食用油脂相似的物化性質,熱分析結果表明其氧化穩定性與熱穩定性都能與食用油脂相比美,可以用於油炸食品及其它套用。小鼠急性毒性測試表明SPEs產品屬於無毒級,為在食品工業中的套用安全性提供了依據。
8、採用脂肪酶催化蔗糖與油酸的直接酯化,嘗試合成蔗糖高酯,以代替化學合成法,結果發現,即使採用催化活性較高的Candida脂肪酶也不能得到酯化度高於6的聚酯產品。
本課題的研究特色和創新之處在於:
首次將相轉移催化概念引入食品化工領域,提出了利用蔗糖和脂肪酸甲酯合成蔗糖聚酯的三步反應歷程,並對反應機理做出了合理的解釋。通過選用適當的相轉移催化劑,大大提高了反應產率,顯著降低了反應所需溫度,改善了產品質量,為蔗糖聚酯的大規模工業化生產開闢了一條新的途徑。
相關評價
蔗糖聚酯蔗糖聚酯:“沒營養”的好東西
由於需求攝入量較大,蔗糖聚酯是美國FDA審批時間最長,審批最嚴格、最慎重的品種之一,具有非常可靠的安全性。美國糖尿病協會評價說:“它是美國市場上被研究得最詳盡的產品之一。該產品確鑿的安全性是其獲得FDA批准的主要原因”。
20世紀60年代,研究者合成了許多不同多元醇(如蔗糖、葡萄糖、季戊四醇等)的脂肪酸酯,目的原本是為了找到一種比甘油三酯更容易消化吸收的多元醇酯,供早產兒和其他有脂肪消化障礙的人食用。但是,他們意外地發現,有較高酯化度的(每分子蔗糖多於6個脂肪酸)蔗糖酯不被脂肪酶水解,因而根本不會被消化。
後又經過多年的反覆驗證,研究者於1968年成功開發出了8酯含量占70%以上、低級酯小於0.5%的蔗糖聚酯。在其分子結構中,酯鍵被嚴密包裹於分子中心區域,使脂肪酶由於空間上的立體位阻而無法接近酯鍵,故在代謝中不易被分解,不會被小腸吸收,所以不產生熱量。同時,膽固醇的吸收過程需要脂肪的參與,形成乳化的分子聚集體,附著於腸道表面,與脂肪分子一道被吸收,而由於蔗糖聚酯的不吸收性,溶於其中的膽固醇無法進行上述過程而不能被吸收。
1996年蔗糖聚酯首次獲得美國FDA批准,作為脂肪替代品添加到即食鹹味小吃和爆米花中,次年,使用蔗糖聚酯的薯片上市,自那以來,美國消費者已經消費了60億份蔗糖聚酯。
相關提示
1、使用範圍:炸薯片、即熱爆米花、烘烤小甜餅。
2、嬰幼兒不宜食用,標籤、說明書中應當標註不適宜人群和食用限量。
相關新聞
蔗糖聚酯功能與套用圓桌會議名稱:蔗糖聚酯功能與套用圓桌會議
RoundtableMeetingonFunction&ApplicationofOlean
時間:2011年4月15日
15thApril,2011
主辦:中國營養學會營養與保健食品分會
ChineseNutritionSociety
CommitteeofNutritionandFunctionFood
協辦:北京播實之星醫藥科技有限公司
BJ.PHDSHealthcareReseachInc
當今能量攝入過剩、超重和肥胖開始流行、“三高“快速增加的情況下,低脂、低熱能、低糖的產品被大多數消費者視為健康食品。蔗糖聚酯,美國註冊商品名:OleanÒ,通用名:Olestra,是一種零脂肪、零熱卡的天然油脂替代物,用於食品中,既可保證食品的風味和質量,又能減少人體攝入過多熱量和脂肪(下文以Olestra指本品)。2010年11月,經中國衛生部審查,批准蔗糖聚酯為新資源食品,作為食用油及脂肪的替代品,用於炸薯片、即熱爆米花、烘烤小甜餅中(中華人民共和國衛生部公告2010年第15號)。
但是,食品加工業長久以來都面對著一個很大的挑戰——如何在降低脂肪和熱量的同時,保持食品的風味?作為一類功能性脂肪替代品,蔗糖聚酯使這個難題變得不再那樣棘手。
為了更好地對蔗糖聚酯功能的科學證據和套用信息方面的認識和了解,中國營養學會營養與保健食品分會於2011年4月15日主辦的《蔗糖聚酯功能與套用》圓桌會議暨春季踏青攝影旅行會獲得圓滿成功!
來自衛生部衛生監督中心、中國疾病預防控制中心、中國營養學會、中國乳品工業協會、中國知名大學和研發機構等、中國食品報、中國食品工業報、健康時報、大眾科技報的近50多位專家和記者參加了本次蔗糖聚酯研討會。
最後來自益海嘉里的胡鵬對蔗糖聚酯在食品中的套用進行了講解。下午組織專家在古香古色的中山公司進行了春節踏青攝影活動。專家們表示,這次活動給大家留下了深刻印象,並從會議過程中獲益匪淺!蔗糖聚酯如何安全與科學的套用於食品行業是當前面臨的新機遇和新挑戰,相信合理有效的套用蔗糖聚酯將為中國面臨日益嚴重的肥胖、三高問題提供了一種有效的解決方案!

