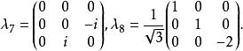
定義
蓋爾曼矩陣(i=1到8)表示如下:
蓋爾曼矩陣
蓋爾曼矩陣
蓋爾曼矩陣
蓋爾曼矩陣
蓋爾曼矩陣物理學中常用另一種形式的蓋爾曼矩陣 。
性質
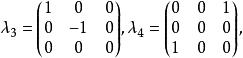
蓋爾曼矩陣是無跡的埃爾米特矩陣(故可以通過指數運算生成么正矩陣),並滿足跡正交關係。這些性質是由蓋爾曼選定的,因為這樣自然地把SU(2)的泡利矩陣推廣到SU(3),構成了蓋爾曼夸克模型的基礎。蓋爾曼的推廣還可進一步擴展到一般的SU(n)上。
跡正交性
蓋爾曼矩陣
蓋爾曼矩陣其中 是克羅內克δ。
蓋爾曼矩陣
蓋爾曼矩陣
蓋爾曼矩陣
蓋爾曼矩陣
蓋爾曼矩陣
蓋爾曼矩陣有三個獨立的SU(2)子代數: , 與 。其中 與 都是 的線性組合。這些子代數的任意么正相似變換仍然是SU(2)子代數。
蓋爾曼矩陣
蓋爾曼矩陣這樣的好處是以 作坐標軸畫權圖時,兩坐標軸是垂直的。在這樣定義下基礎表示與其共軛表示的權圖是關於 軸對稱的正三角形,見下圖
蓋爾曼矩陣對易關係
蓋爾曼矩陣滿足對易關係
蓋爾曼矩陣
蓋爾曼矩陣
蓋爾曼矩陣結構常數 關於三個指標是完全反對稱的,類似於列維-奇維塔符號 。它們的非零分量為
蓋爾曼矩陣完備性關係
蓋爾曼矩陣
蓋爾曼矩陣
蓋爾曼矩陣
蓋爾曼矩陣八個蓋爾曼矩陣與單位矩陣一起構成了完備的跡正交集,能生成所有的3×3矩陣。因此可以直接找到兩個完備性關係,就像泡利矩陣所滿足的那樣。第 個蓋爾曼矩陣的第 行第 列的元素記做 ,並記
蓋爾曼矩陣
蓋爾曼矩陣則以下恆等式成立
蓋爾曼矩陣表示論
蓋爾曼矩陣
蓋爾曼矩陣SU(3)中的任何元素都可以寫成 的形式,其中 是八個實數,並使用愛因斯坦求和約定。
蓋爾曼矩陣的平方和給出了二次卡西米爾運算元
蓋爾曼矩陣套用
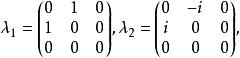
蓋爾曼矩陣蓋爾曼矩陣在強子分類中有重大意義。 為u,d夸克SU(2)同位旋空間的第三分量,可以表達為:
蓋爾曼矩陣
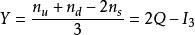
蓋爾曼矩陣類似於超荷,物理意義為:
蓋爾曼矩陣其中n為對應夸克數,Q為電荷。
蓋爾曼矩陣
蓋爾曼矩陣由 與 表示的直積化直和,生成伴隨表示8,就可以給出對輕夸克組成的介子的8重態分類,具體見下圖
蓋爾曼矩陣在量子色動力學中,蓋爾曼矩陣可用來研究膠子場的“色”旋轉。規範色旋轉可表示為
蓋爾曼矩陣