簡介
在數學和數學物理中,泡利矩陣是一組三個2×2的么正厄米復矩陣,一般都以希臘字母σ來表示,但有時當他們在和同位旋的對稱性做連結時,會被寫成τ。
這些矩陣是以物理學家沃爾夫岡·泡利命名的。在量子力學中,它們出現在泡利方程中描述磁場和自旋之間相互作用的一項。所有的泡利矩陣都是厄米矩陣,它們和單位矩陣I(有時候又被稱為為第零號泡利矩陣σ),的線性張成為2×2厄米矩陣的向量空間。
從量子力學的角度來看,哈密頓矩陣(算符)代表可觀測的物理量,因此,σ,k= 0,1,2,3的線性張成代表所有作用在二維希爾伯特空間的物理量所形成的空間。從泡利本人的的研究來看,σ,k=1,2,3所代表的物理量是自旋在三維歐幾里得空間ℝ中第k個坐標軸的投影分量。
數學性質
三個泡利矩陣可以共同用一種單一形式表達:
包立矩陣其中δ是克羅內克δ函式。當a=b時,其值為1;當a≠b時,其值為0。
本徵值和本徵向量
這些矩陣是對合的:
包立矩陣其中I是單位矩陣。
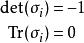
此外,泡利矩陣的行列式和它們的跡分別為:
包立矩陣故從上述關係可以推得每個泡利矩陣σ的本徵值分別為±1。
每個泡利矩陣有兩個本徵值,+1和−1,其對應的歸一化本徵向量為:
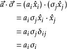
包立矩陣泡利向量
包立矩陣包向量定義為:
這個定義提供了將一般向量基底對應到泡利矩陣的基底的機制
包立矩陣相同的下標是使用了愛因斯坦求和約定。此外:
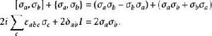
包立矩陣對易關係
泡利矩陣有以下的對易關係:
包立矩陣以及以下的反對易關係。
包立矩陣其中ε是列維-奇維塔符號,δ是克羅內克函式,是I是2 ×2的單位矩陣。而一樣的,上面使用了愛因斯坦求和約定。
和內積、外積的關係
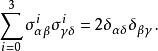
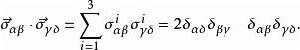
將泡利矩陣的對易和反對易相加得:
包立矩陣因此可得:
包立矩陣將它轉換成向量積的表達式:
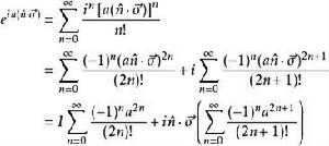
包立矩陣泡利向量的指數
包立矩陣
包立矩陣
包立矩陣令 ,而且 對於偶數n可得: ,另外加上之前求得在n= 1的情況可在n為基數的情況:
包立矩陣利用矩陣指數的概念,加上正弦和餘弦的泰勒級數展開式,可得:
包立矩陣
包立矩陣
包立矩陣第一項的總和為 ,第二項括弧里的總和是 ,於是:
包立矩陣這可以看做是歐拉公式的類比。
完備性關係
另一個常用來區別泡利矩陣的方法是用上標i,用不同的i來代表不同的泡利矩陣,而下標則代表不同的矩陣元素。因此第i個泡利矩陣的第α行第β列的元素可表示為σ
利用這種表示方法,泡利矩陣的完備性關係可寫作:
包立矩陣有時習慣上將2×2單位舉寫成σ,也就是,σ=δ。如此一來完備性關係可以更為簡潔的表示成:
包立矩陣和換位算符的關係
令算符P為換位算符(或稱為置換算符)。對於兩個在張量積空間ℂ⊗ ℂ中的自旋σ和σ該算符有:
包立矩陣的關係。這個算符可以更進一步的用泡利矩陣來表示:
包立矩陣該算符有兩個本徵值,分別1和-1,這個算符可以用於代表某些哈密頓量的相互作用項,產生對稱和反對稱的本徵態分裂的效果。
SU (2)
四元數與泡利矩陣
{I,iσ,iσ,iσ}的實數張成與四元數ℍ的實代數同構,可透過下列映射得到對應關係(注意到泡利矩陣的負號):
包立矩陣另外一種方式的映射為將泡利矩陣的次序反轉
包立矩陣既然單位四元數與SU(2)為群同構,此亦代表泡利矩陣也可用來描述SU(2)。從SU(2)到SO(3)的2對1同態性,也可以用泡利矩陣來表述。
四元數構成可除代數——所有非零元素皆有逆元素,然而泡利矩陣並非如此。泡利矩陣生成的代數的四元數版,參見復四元數,其共有8個實維度。
相關條目
•四元數
•泡利方程
•龐加萊群
•蓋爾曼矩陣
•代數幾何
